液氮冻结法在盾构始发地层加固工程中的应用 摘要:某地铁区间隧道盾构从车站一端始发,端头井位于富水砂层,采用旋喷桩和深层搅拌桩进行端头井加固后盾构始发时出现大的涌水涌砂,为确保距始发井3.4 m处6层居民楼安全,根据工期需要,采用液氮快速冻结补充加固地层,使盾构机安全始发。 关键词:地铁隧道;盾构始发;端头井加固;液氮冻结 用冷却的手段使地层中的地下水冻结成冰,地下水不再流动,结冰后地层的强度大为提高,这种加固地层的方法为冻结法。通常,该工法多在其他辅助加固工法很难实现加固目的的场合下选用[1-2]。冻结法有液氮低温液化气式(直接式)和盐水式(间接式)两种。直接式的优点是冻结速度快,但液氮需用罐车从液氮生产厂运至施工现场,然后提供给冻结管,液氮在大气中的释放损耗大,成本高[3]。本文是一个利用液氮快速冻结加固盾构始发地层的工程实例,供类似工程参考。 1工程概况 某地铁区间盾构从车站一端始发,端头井位于富水砂层,盾构始发地层土体加固采用旋喷桩+搅拌桩的方案,即在端头井侧墙外先施工两排1.6 m宽的三重管高压旋喷桩,在旋喷桩外侧用双头深层搅拌桩加固,加固深度18.5 m,纵向长度8.4 m,横向范围为盾构直径外侧上下左右各3 m。加固后经抽芯检测,符合要求。但在始发洞门混凝土凿除时,发现隧道中心线以下范围内加固效果较差,出现大量涌砂,立即采取补救措施,用聚氨脂发泡剂止水砂,用混凝土重新封闭洞门。 紧临车站始发井西侧3.4 m是一幢6层居民楼,车站施工时曾出现流砂,该楼房已发生了较大沉降,出于安全考虑,结合工期要求,决定采用液氮快速冻结加固盾构始发地层。 2冻结方案设计 冻结方案采用全断面局部冻结,设单排冻结孔。冻结孔深度16 m,冻结孔数13个,冻结孔中心间距0.675 m,冻结孔距连续墙外侧0.4 m,最外边的冻结孔离盾构外轮廓线0.7 m,冻结管采用覫159×7 mm无缝钢管,材质为20#低碳钢。地面布置温度监测孔3个,出洞口壁面布置测温孔4个,详见图1。
2.1冻结参数计算
洞口冻结加固体在工作井破壁和盾构开始推进阶段,起到抵御水土压力、防止洞周土体塌落和地下水涌进的作用。
2.1.1荷载计算
该始发洞口冻结加固土体承受的荷载、计算模型及冻结管布置示意图如图2所示。应用重液理论计算水土压力时,其出洞口的水土压力P=0.013H。其中,P为计算点的水土压力,MPa;H为计算点深度,m。
出洞口中心埋深11.00 m,当开洞直径为6.70 m时,开洞口的底缘深度为14.35 m。如取计算深度为14.35 m,则计算得到水土压力P≈0.19 MPa。
2.1.2冻结加固体厚度
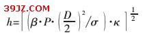
假定加固体为整体板块而承受水土压力,用弯拉应力计算加固体的厚度,计算公式如下:
式中:h为冻结加固体厚度,m;β为系数,一般取1.2;D为加固体开挖直径,取6.70 m;κ为安全系数,取2.5;σ为冻土弯拉强度,当冻土平均温度为-20℃时,冻结粉细砂的弯拉强度取8.0 MPa。
将上述参数代入公式,计算得到冻土体计算加固厚度h=0.89 m,可取h=1.0 m。
2.1.3其他尺寸的确定
冻土体本身处于加固过的土层中,且其前方为深层搅拌桩加固过的地层,稳定性充足,[1][2][3]下一页
[NextPage]
$False$



