【摘要】斜拉一悬吊协作体系结构新颖、受力合理、施工方便,兼有悬索桥和科拉桥两种桥型的优点。本文以恒载为主,并适当考虑活载及风载等其他荷载的影响,研究了协作体系优越的经济性能和协作体系主要结构参数的合理位,为这种桥型的设计提供参考依据。
关键词 协作体系 经济性能
一、引言
与悬索桥相比,斜拉桥的刚度较大,抗风稳定性好,缆索用钢量较小,而且在活载作用下的挠度比悬索桥小,因此在600米以下已基本取代了悬索桥,在600~1000m的跨径内也极具竞争力。悬索桥的优点是跨越能力强,目前是特大跨径桥梁首选的结构形式。
作为以上两种桥型结合的协作体系,充分吸收了二者的优点。1938年,狄辛格提出了跨径中部由悬索支承而两旁由缆索支承的体系,这种构想未被实施的主要理由是体系在结构性能和外型方面有间断性。近年来,随着大跨桥梁技术的发展,工程师对协作体系有了新的认识。分析表明,协作体系具有诸多优点:斜拉、悬吊两部分主梁可采用不同材料;如斜拉部分采用预应力混凝土梁和结合梁,悬吊部分采用轻质钢箱或钢衍梁,可改善结构性能,减少梁、缆、钱族的财资;悬吊部分比同跨径悬索桥大大减小,可降低主缆索力,减小锚施水中施工难度,缩短工期,降低主缆和锚碇的造价,使悬吊结构在软基上的实施成为可能;斜拉部分采用混凝土梁或叠合梁,重量和刚度较大。协作体系斜拉部分悬臂比斜拉桥大大减短,有利于提高结构施工和成桥状态的抗风稳定性。
90年代初,法国Tancarvilla悬索桥加固时采用了协作体系,我国已建成的乌江大桥也采用了这一体系。与此同时,有多座大型桥梁的方案设计中采用了协作体系。如土耳其伊兹米特海峡大桥以及我国的伶仃洋东航道桥。
就国内桥梁工程的建设来看,协作体系有美好的发展前景。交通部规划的沿海高等级公路干线上有五个大型跨海工程,在这些工程中要遇到前所未有的困难;跨海工程的跨径较大,一般在800~1500米之间。有的必须跨越海沟,则跨径更大;大桥的基础要建在深水中,若建斜拉桥则由于跨径的突破,有诸多技术难点有待解决,若建悬索桥,锚碇的价格十分昂贵;在另外一些软基地区或强台风区,也会遇到基础或抗风等不利因素而不宜建造悬索桥。可见,协作体系是解决以上问题的优良方案。
研究协作体系首先必须认识其经济性能。本文通过对协作体系整体造价与各结构参数之间关系的研究,分析得出各主要参数的合理范围,为今后的方案设计提供依据,并说明作体系与斜拉桥、悬索桥在经济方面相比较所具有的优势。
二、协作体系桥的材料用量及总造价
一座典型的协作体系桥结构如图1所示。
1.悬吊部分缆索用量
悬吊部分相当于一个单跨为ls的悬索桥,承受的荷载有:主梁均布恒载w1;等效均布活载p;主索自重均布恒载Wc;吊杆自重等效均布恒载Wd。
(1)吊杆
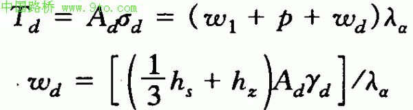
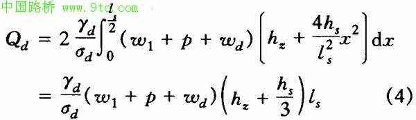
假设吊杆承受一个吊杆间距范围内的均布荷载,吊杆平均长度近似取为1/3hs+hz,则吊 杆最大内力和吊杯自重均布恒载分别为
可求得吊杯自重等效均布恒载为
再将吊杆等效处理为主索与主梁之间的连续面(图2),
则吊杆总钢量为
(2)主索
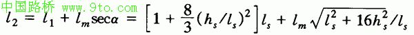
主索线型近似处理为:有吊杆段为二次抛物线;其余部分为直线。两部分光滑连接(图3)。

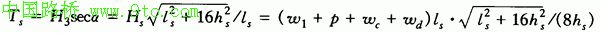
主索中水平力为
主跨内主索最大索力为
将Ts=Asσc,Wc=Asγc代人上式并整理可得主索面积为
在恒载作用下,边跨内主索索力应当在水平方向与主跨平衡(图4),

则边跨主索索力及面积为
主跨主索总长度为
锚碇至塔顶的主索总长度为lb,主索用钢量为
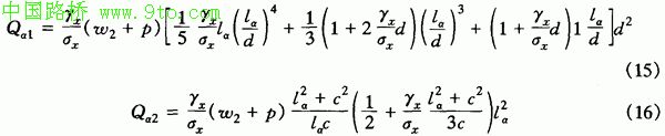
2.斜拉部分缆索用量
斜拉部分相当于主跨为lm、边跨为la的斜拉桥,主梁上斜拉索锚固点间距为λb,塔上间距为λc。承受的荷载有:主梁均布恒载W2;等效均布活载p;斜拉索自重。
(1)锚索用钢量
锚索拉力用来平衡桥塔所受的不平衡弯矩,锚索面积及用钢量为

(2)斜拉索用钢量
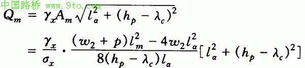
a.边跨斜拉索总用钢量
斜拉索可近似处理为一端锚固在主梁上、另一端锚固在主塔锚固区范围内连续均匀布置的索面,可得斜拉索用量为

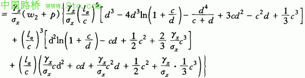
上式中,C、d分别为有索区和无索区长度。C或d为0分别相当于全部斜拉索锚固在塔顶的辐射型体系和全部斜拉索平行布置的竖琴型体系。结果如下:
若在式(14)中不计斜拉索自重,可以得到比较简洁的计算式:
b.主跨斜拉索的总用量Qx可参照式(17)至(20)写出,只须将la换成lm/2,此处不再列出。
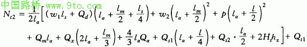
至此得到了全桥缆索用量,总计有:主索用量Qs、吊杆用量Qd、斜拉索(包括锚索)用量2(Qm+Qa+Qx)。
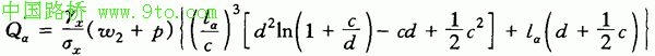
3.主塔材料用量
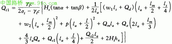
主塔以受压为主,弯矩的影响一般被限制在小偏心范围内。这里主塔按轴心受压构件计算。假定锚索区的主塔横截面呈线性变化,元素区作为等强度柱计算(图6)。
(1)锚索区主塔材料用量
塔顶面积为:
锚索区下端的轴力可由全桥一半作用的力对边支点取矩求得,其主跨主梁中的轴力对边支点不产生弯矩(不计桥面纵坡和竖曲线)(图7)。
综合式(18)~(20)并结合At2=Nt2/σt可得
(2)无索区主塔材料用量
主塔材料总用量为
在实际情况中,体系还承受横桥向力,主塔横截面上由于弯矩存在而受力不均,所以在以上各式中的σt应比主塔材料实际能承受的极限压应力小,一般为极限压应力的70%。
4.其余部分材料用量
锚碇的材料用量由所承受的拉力确定,引入比例系数,可取
主梁主要承受轴向力与不大的局部弯矩,其截面一般由构造要求或整体稳定性及抗风要求确定,因此主梁的自重是人为确定值,可得主梁材料用量为
主塔基础承受的竖向力为
全桥一半下部结构所承受的总竖向荷载为
可得边墩基础承受的竖向力为
引入比例系数,得主塔基础及边墩基础材料用量为

至此,已将全桥的材料用量计算完毕,引入各部分材料的单价,可得全桥的总造价为
三、经济性能分析
在总造价的计算式中,最基本的设计参数有:la ,lm(或ls),hs,w1,w2。可研究主跨悬吊段/
主跨斜拉段总长(吊跨比)、主索抛物线段矢跨比等结构参数的合理值,也可研究主梁梁高改变带来的自重变化对以上参数的影响。现以伶仃洋东航道桥方案为对象进行研究。
同济大学规划建筑设计研究总院桥梁分院在此桥的方案设计中采用了主跨为1400m的协作体系方案。此方案的基本参数见表1,对其中一些数值说明如下;缆索的容许应力安全系数取为
2.5;主塔材料为50号混凝土,容许应力取为 0.7Ra, Ra为轴心抗压设计强度;主塔基础的用量与当地的地质情况及所采用的基础形式关系很大,比例系数kj的具体取值比较复杂,此处暂取为0.4;边跨主索倾角取为β=30度,这是悬索桥的常用值。
根据造价计算式,容易算得该方案各部分的造价,列于表2。与该方案概算结果十分接近。误差主要表现主梁造价的节省,原因是方案中混凝土梁段和钢梁段的分界点在斜拉段内,这里将分界点取在斜拉段和悬吊段的结合处,用单价较小的混凝土梁代替了原方案中的一段钢梁。
1.主跨长确定时总造价随设计参数的变化关系研究
(1)吊跨比:取主跨长为1400m,矢跨比为1/12,边跨柱跨斜拉段为0.469,使吊跨比在0.7~2.5之间变化,研究总造价与吊跨比的关系,结果如图8所示。可以看出吊跨比在1.1~1.2之间时总造价最小,在1.0~1.3之间变化时总造价变化很小。
(2)矢跨比:取主跨长为1400m,边跨长为319m,主跨斜拉段总长度为788m,使矢跨比在1/5~1/15之间变化,研究总造价与矢跨比的关系,结果如图9所示。可以看出矢跨比在1/8~1/9之间时总造价取得最小值。在计算中还发现;矢跨比减小至1/10~1/12之间时,总造价增加的比例为3%~7%,但可有效降低塔高并进而减小施工难度。因此,现阶段大跨径悬索桥的常用失跨比1/10~1/12可以沿用在协作体系上。
2.不同主跨长协作体系设计参数的合理取值
沿用表1伶仃洋方案中所取的基本参数,使设计参数在实际工程所能达到的范围内自由变化,以全桥总造价为目标进行优化。设计参数取值范围为:主跨长度800~2500m,主跨斜拉段长度50~
850m,主索抛物线段矢跨比1/20~1/5。
计算结果分析:
(1)图10表明:在总造价最低时,主跨斜拉段长度始终远远大于规定的50m起始点,这说明与单跨悬索桥相比,全桥总造价不因增加边跨斜拉段而增大,其原因是锚碇造价有很大节省:一般悬索桥的锚碇造价占总造价的20%左右,而协作体系的锚碇只占总造价的7%至10%,而且在计算中发现这一比例随主跨的增大而降低。这就显示了协作体系在经济上巨大的竞争力。
(2)图11表明:在总造价最低时,最优矢跨比在1/7.2左右。参考文献[1]也指出:对大跨径悬索桥来说,矢跨比为
1/6.67时缆索系统和主塔的总造价最小,这里得出的值小一些,是因为又计入了基础的影响。
(3)在总造价最低时,边跨长与主跨斜拉段总长的比值一般接近0.5,原因是将斜拉段全部作为混凝土梁时,边跨较大可减小主跨与边跨的不平衡弯矩,从而节省锚索的用量。
3.梁高对设计参数的影响
梁高是大跨度桥梁设计中一个重要的参数。梁高的变化可等效处理为主梁自重的变化。而恒载占总荷载的大部分,在静力计算中,恒载增大时,全桥各部分材料用量大致以相同的比例变化,对结构参数的优化影响很小。
4.以全桥平均单位长度价格为优化目标的结果
以上的计算均以全桥总造价为代化目标,得出的结果具有一定的局限性。如果以单位桥长价格为优化目标,结果有所不同,表现为斜拉段长度越长,其经济性能越优。这是因为相同跨径的斜拉桥与悬索桥相比缆索用量节省一半左右,并且没有悬索桥所必须的巨大锚碇。这样,斜拉段越长,总的平均价格就越小。但斜拉段的长度受到斜拉桥极限跨径的控制,不可能无限取长。另外,协作体系的矢跨比最优值在1/8左右。
四、小结
(1)协作体系与悬索体系相比较具有较大的经济优越性。
(2)主跨主索抛物线段的矢跨比可以沿用大跨度悬索桥的常用值 1/10~1/12,这样可将主塔高度控制在合理的范围内,同时保证总造价处在较优的范围内。
(3)在主跨长取定的情况下,要获得全方案总造价的节约,主跨斜拉段不应太大,对应的边跨长度宜采用斜拉桥常用的边跨与主跨比。
(4)若以单位桥长价格为优化目标,主跨斜拉段长度宜采用较大值。
在本文分析过程中发现了以下问题有待继续研究:
(l)边跨主索对承担主跨与边跨的不平衡弯矩有很大帮助,但对锚索与主索之间力的分配还缺乏合理有效的处理手段。
(2)须寻找一种确定材料用量比例系数的合理方法。
(3)混凝土梁和钢梁的分界点可作为一个独立的设计参数参与优化。
(4)以总造价和单位桥长价格为代化目标各有局限性,须寻找一种取长补短的优化目标。
参考文献
[l]尼尔斯J·吉姆辛.缆索承重桥梁构思与设计.北京:人民交通出版社,1992
[2]肖汝诚,项海帆.斜拉一悬吊协作体系力学特性及经济性能研究.中国公路学报,1999,(3)
[3] 伶仃东航道斜拉一悬吊协作体系的设计尝试.全国桥梁与结构工程学会论文集,上海:同济大学出版社,1998



