[摘要]对船舶与桥墩碰撞动力学理论进行了讨论,提出船舶碰撞模拟计算方法,进行实例应用,并对桥墩防撞问题进行了初步讨论。
关键词 船舶 桥墩 碰撞 计算 桥墩防撞
一、概述
横跨在航道上的桥梁,可能遭受船舶碰撞,为了抵抗船撞力,桥墩的设计必须考虑船撞力的作用。
船舶碰撞桥墩时的撞击分析涉及许多因素,其中主要的是船舶类型、航行速度、撞击角度等。在最近几十年有很多方法研究船舶碰撞载荷,但大部分这些方法的基础是两个经典的研究。一个是由
Minorsky在 1959年提出的[l],Minorsky曾为设计美国核动力船舶系统地研究了船舶的碰撞。第二个基本研究是
Woisin[2」在 1967~1976年间为了设计原子能船的保护结构,进行了一些高能船舶碰撞模拟试验。一些学者将船/船碰撞也应用于船舶撞击桥梁,因为它们有相同的机理。
碰撞特性是与碰撞情况有关的,即较大的碰撞和较小的碰撞有不同的特性。但这对不同的船舶又有不同的概念。一般,碰撞时如船壳极发生严重的凹陷,但单体船的外板或双体船的内壁未发生裂缝,则分类为较小的碰撞(也即低能量碰撞)。如碰撞引起大的非弹性变形和船壳板的破裂,则就是大的碰撞。对不同类型的碰撞,由于结构的响应不同,使用的分析方法也有差别,主要是在分析内部机理方面有不同的方法。例如,屈服一破坏形式用来研究较小的碰撞,而侵入一破坏形式用来研究较大的碰撞。
船舶碰撞的试验研究是很复杂的课题,对模型试验来说,船舶的碰撞还包括大量的非弹性性能和非线性影响,相当尺度难以做到。如软钢是对应变率敏感的材料,对各种结构构件的动塑性响应有重要的影响。AKita[3]等进行了一些理想的静和动的船舶碰撞模型试验,观察到动行试验吸收的能量大于相应的静荷试验的结果,这是由于材料应变敏感率的影响。
了解船舶碰撞机理,最好的方法是进行全尺度的试验。这可以用旧船进行实船碰撞试验,或收集实际船舶碰撞的数据。虽然实际碰撞事故常常发生,碰撞背景却通常不知道,碰撞力作为穿透和时间的函数也很少记录过。在旧船上进行全尺度试验的费用是非常昂贵的。因此模型试验仍然是研究碰撞问题的基本实验手段,模型试验的结果为检验分析方法提供了比较基础。
为了研究船舶和桥墩的碰撞,需要明确碰撞的动力过程。
二、碰撞机理
船舶和桥墩的碰撞可视为船/船相撞的特例。两艘船舶在碰撞时,速度发生突然改变,同时两艘船舶的结构也发生变化。弱的结构将挠曲变形、压坏、穿透或撕裂。从能量转换的观点,在碰撞时发生动能的消失,部分失去的功能消耗于船舶的运动和碰撞冲击时周围水的运动,部分由结构的弹性和塑性变形或结构撕裂所吸收。碰撞时结构的响应,通常仅为问题的内部机理。这问题的解包括能量吸收能力和碰撞结构碰撞冲击抗力的计算。这问题是非线性的和动力的,包括弹性和塑性变形,结构的崩溃和破裂,以及迅速改变的边界条件。
船舶和周围水的运动的预报是属于外部机理的问题。因为两艘碰撞船和周围水之间复杂的相互关系,外部机理问题也是复杂的。
1.内部机理
碰撞时两相撞船舶的结构响应机理能简要地描述如下:当被撞船A和碰撞船B发生碰撞时,碰撞力F是两船接触区域刚度的函数,如A的结构是弱的,它的局部结构将变形、破坏和穿透。接触区域的几何形状将改变。这又将引起碰撞力大小的变化。同时,碰撞船的局部结构也可能发生变形、破坏或穿透。要求解结构响应,在变形结构中的每一时刻必须满足平衡、相容条件,要满足力和位移边界条件,应力一应变关系要满足弹性和塑性理论。鉴于船舶结构的复杂性和复杂的方程组,求解方程组极其困难。国际上进行碰撞研究也大量采用数值方法和近似理论方法。
数值方法要求适用于弹性应变敏感的结构,因为结构承受大的位移、大的应变、屈服和破裂。但对弹塑性材料的多维本构方程的形式,甚至对静态问题也是不太清楚的。还有另外一些不确定的问题,如塑性屈服结构上切力的传递,弹塑性问题的收敛性,结构的动荷疲劳等。因此不可能得到实际船舶问题的精确的数值解,很多学者研究各种简化,求得理想情况的数值解。
对船舶碰撞结构分析的近似方法是将结构看成是一些已知响应的较简单构件的组合,这些构件的响应可应用理论方法或应用经验公式。通过这些计算可得到对标准的船艄和船测结构准静的冲击力一穿透以及能量吸收一穿透的特性。这些近似方法和数值计算、实验结果相比较,有合理的一致性,符合工程设计需要。
对碰撞时船舶结构的g@应的分析,有采用Minorsky或改进的Minorsky方法估算结构损坏【1】【4】,也有用一非线性简化的有限元方法决定被撞船侧的刚度特性【5】,在船舶和平台结构碰撞的分析中,平台结构通过引进塑性铰的概念,用简化的塑性模型的有限元法分析平台结构[6]。进一步用塑性结点法将大变形、塑性和梁柱单元的应变硬化计入于弹性大位移分析中,得到局部有凹陷的管构件和三维梁、柱单元的非线性的力一位移关系,精确和有效地进行碰撞分析[7]。
P.T.Pedersen和 S.Valsgard[8]用Gerard,Amdahl和 Yang& Caldwe11方法预报了一些船舶对海上固定结构的艏撞力,为了用于丹麦的
Great Belt桥的设计。
2.外部机理
在碰撞的外部和内部动力特性之间是同时发生相互影响的,模拟提供了求解问题的最好方法。Smiechen的碰撞模拟过程是一真正的瞬态过程。但它仅包括中心直角碰撞,Dritte提出的方法包括两艘航行的船舶之间一般的碰撞情况,倾角可有任意数值,碰撞位置可在船侧的任何位置,然而这过程不是真正的瞬态过程,因而导出的运动方程是用Fourier展开求解的,在计算开始前必须知道整个力一时间历程。
patersen的研究【9】涉及一般的过程,模拟船舶在碰撞时的运动。假定碰撞力是已知的穿透的函数,问题处理为一两维问题。作者将碰撞模拟扩展到三维问题【10,11】,更合理地模拟船舶在三维空间的碰撞过程。
碰撞过程的模拟如图1所示,是一迭代过程,可以归纳为以下几步:
(1) 碰撞冲击时间τ未知,进行损坏区域荷重一凹陷特性的拟静模拟。
(2) 已知非线性弹簧的力一凹陷性能,进行外部机理的动行时间积分,得到碰撞时间τ0的第一次估算。
(3)用τ0和碰撞船舶的速度作为基础,进行非线性动行内部机理的时间积分,得到估算的碰撞时间τio。
求解,得到改进的τ0估算值。
(4)比较τ0 和τi,如得到合理的一致性则停止迭代,如不是就进入新的迭代,按3,2,4,5的步骤重复进行。第5步的比较不仅要比较碰撞时间而且要比较局部损坏和能量吸收的差别。
对外部机理的动行分析通过建立运动方程得到瞬态力平衡关系,并得到碰撞力和能量的变化关系。
3.船舶的运动方程
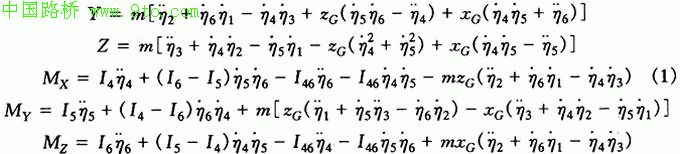
在碰撞后,任一瞬间的船舶运动可能包括横摇、横漂、摇首、纵倾、升沉和进退。对于一固定于船上,原点在船中的坐标系,船舶的运动方程取(2)式的形式,假定船舶有侧向对称性,重心位于(XG,0,ZG)。坐标系统及位移、转角表示在图2。
船舶的运动由下面符号表示:
η1--进退位移;
η2--横漂位移;
η3--升沉位移;
η4--横摇角;
η5--纵摇角;
η6--摇首角。
式中,m是船舶的质量,·表示对时间的求导,I4,I5,I6是惯性矩,I46是惯性积,X,Y,Z是外力,MX,MY,MZ是外力矩,包括水动压力和碰撞力。
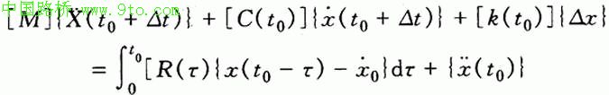
采用切片理论,得到瞬态运动情况的水动压力,代入(l)式,得到碰撞时的瞬态运动方程式:
式中,{x}为船舶的广义位移矢量,[M」是船舶和附连水质量矩阵,[C(t。)]是时间t0时的阻尼矩阵,[R(τ)]是水动力和水动力矩,1评奖碰撞力矢量。为求解此方程,首先要决定包含在【M】【C】矩阵中的附连水质量和阻尼。这通过船舶剖面的二维附连水质量和阻尼沿船长的积分求得。本文采用刘易士方法计算二维剖面的水动力系数,同时假定船舶两端的附连水质量为零,积分得到整艘船舶的附连水质量和阻尼。
4.碰撞模拟
船舶碰撞接触点的位置称为碰撞点,假设所有的变形发生在碰撞点的周围,用六根非线性弹簧描述这一区域的变形。每艘船用3根弹簧表示,弹簧变形产生的力和碰撞力平衡,因此每一弹簧变形力就代表了这一弹簧方向上碰撞产生的力。计算这一组力的大小就可了解船舶碰撞时的受力情况。
模拟从船舶接触的瞬时开始,作用的力为碰撞力和水动压力。将方程(2)扩展为12个自由度,这个方程可用来得到碰撞的数学模型。
如在时间 t0的碰撞力已知,在时间 t0十Δt以后的力可表示为
{Xc(t0十Δt)}={Xc(to)}-[K]{Δx} (3)
式中,{Δx}是广义位移的瞬态增量,[K]是时间t0时的弹簧刚度矩阵。
碰撞时船舶结构的变形力是由结构的弯曲、撕裂、材料崩溃引起的,这些值在某一瞬时是与实际的穿透有关。碰撞力的增量为作用在碰撞点的弹簧力和弹簧力增量的函数。
碰撞力还必须在碰撞点平衡,因此有另外3个方程。
式中,[T」A,[T」B是两船局部坐标系中的方向矩阵,弹簧力的增量可表达为
ΔFi=kiΔSi
式中,ΔSi是弹簧的变形增量,ki是弹簧刚度。
将(5),(6)式代人方程(4)式,于是可以得到一组方程:
[K]{Δx}={ΔXc}
式中[K]就是方程(3)中的[K],将(3)式代入(2)式,得到:
为求解(8)式,假定在一个时间步内的加速度是线性变化的,可用时间积分来求解,得到加速度增量,速度和位移增量,同时可得到碰撞点的位移增量,弹簧变形增量。新的弹簧力可由下式计算:
新的变形能可由下式得到:
5.桥墩的船舶撞击力计算
根据上述的碰撞机理,用三维船舶运动瞬态方程组模拟船舶的碰撞,并编制了三维船舶碰撞分析程序。采用这计算程序计算船舶与桥墩的碰撞,桥墩没有速度,具有大的质量和刚度。模拟船舶在不同的速度下与桥墩的碰撞,得到在这些情况下的碰撞力。
本文对钢结构损坏区域的力一变形特性的计算采用Gerard方法。这是航空、汽车、海上结构一般都接受的估算结构破坏载荷的模型[12]。这是一个半经验的方法,根据有各种加强形式的一系列板试验得到的结果。按照Gerard方法可估算最大崩溃强度:
总的崩溃载荷于是给出为
Pc=σcA (12)
式中σy--屈服应力;σ0--压缩应力;
E--钢的杨氏模数;βg,m--取决于截面和边界的尺度值;
n--所考虑的横截面切口和折边的数目;
t--所考虑的横截面的平均厚度;A--横截面积。
公式(12)预报的板结构的最大崩溃载荷与实验结果比较误差为10%,采用 Gerard方法,产生相对保守的结果,但在航空和船舶设计工业的许多应用中,这方法还是合适的,特别对事故设计载荷的评估,这反映了可能发生的最大载荷的大小。因此用这方法来计算船舶对桥墩的碰撞力是偏于安全的。
6.实船碰撞计算
利用上述船舶碰撞动力学理论,在国内进行了多座桥梁的船舶碰撞计算,包括黄石长江大桥、江阴长江大桥、铜陵长江大桥、青洲闽江大桥、南京第二长江大桥(北汉)、广东崖门大桥、镇江至扬州长江大桥。(福建)下白石大桥等,确定船舶碰撞力和防撞设施的性能。
三、桥墩防撞
为了确保桥梁的安全,桥墩的防撞问题已受到人们的重视。随着桥梁设计理论的发展完善,桥梁防撞设施已成为桥梁整体结构的一部分,进行设计优化。在桥梁方案设计阶段考虑桥梁防撞保护问题,较为有利。
1983年,国际桥梁与结构协会(IABSE)召开了船舶撞击桥墩的学术交流讨论会,并编写了《船舶撞击桥墩问题的综述和指南》。以后几年,许多机构都发表了相应的船舶碰撞的指导文件或规范,内容包括碰撞概率分析、设计船舶的确定、碰撞力计算、船舶破损长度的计算、防撞保护系统设计规范等,可作为参考。
各种规范的船舶碰撞大多根据部分研究成果形成的经验公式进行的计算,由于实际航行船舶类型、尺度离散性大,桥墩形式也有很大差别,计算结果常与实际有较大差距,因此基于更细致的船舶碰撞动力学理论分析,对碰撞力的确定和防撞设施的效能分析设计,比较合理。
1.防撞的基本要求
防撞设施的设计需要根据桥墩的自身抗撞能力、桥墩的位置、桥墩的外形、水流的速度,水位变化情况、通航船舶的类型、碰撞速度等因素进行。防撞设施一般应满足如下要求:
a.对碰撞的船舶能量进行消能缓冲,使船舶不能直接撞击桥墩,或使船舶碰撞力控制在安全范围内。
b.防撞设施不能影响船舶的通航,占用航道范围尽量少。
C.通过合理的结构、材料布置,尽量减少船舶的损伤。
d.防撞设施制造皮装、维修经济方便,经久耐用励能可靠。
2.防撞方式
经过多年的研究应用,世界上有多种类型的桥墩防控设施,每种防撞措施都有其特点和使用条件。如缓冲材料方式、缓冲设施工程方式、重力方式、桩方式、人工岛、薄壳筑沙围堰方式(或沉箱方式)、浮体系泊方式、非结构物防撞系统等。
参考文献
[1] Minorsky, V. U. "An Analysis of Ship collisions
with Reference to Protection of Nuclear Power Plants"
JOurnal of Ship Research,Vol.3,No.2(1959)
[2] Woisin, G. "Modle Testing with the Collision
Protection Structures in Reactor Ships",Schiff
und Hafen,(1972)
[3] Akita,Y.,Ando,N.,Fujita,Y.,and Kitamura,K."Studies
on Collision-Protective Structures in Nuclear-Powered
ShiPS", Nuclear Engineering and Design, (1972)
[4] Hutchison, B. M., Gray, D. L. and Bauer, G. "Determination
of Cargo Damage Risk in Barge Collision Using a Generalized
Minorsky Model and Monte CarlO Methods", National
SPring Meeting and STAR Symposium,SNAME, POrtland,
Oregon, (1986)
[5] S. ValSgard and E. Pettersen "Simplified
Nonlinear Analysis of Ship/Ship Collisions",NOrwegian
Martine Research Vol.10 No. 3, (1982)
[6] Ueda, Y., MUradawa,H.,Ohno,K."Dynamic Elastic-Plastic
Response of Frame Structures under collision"
Society of Naval Architect of Japan, (1985 )
[7] Bai, Y. And Pedersen, P. T. "collision AnalySis
of Offshore Platforms and BridgeS" ISMS91 (1991
).
[8] P. T. Pedersen, S. ValSgard, P. Olsen and S. Spangenberg
"Ship ImpactS -- Bow collisions", Int. Journal
of Impact MechaniCS, (1993)
[9] Petersen, M. J.,"Dynamics of Ship Collisions",Ocean
Engineering, (1982)
[10] 梁文娟。船舶碰撞的三维分析。交通部上海船舶运输科学研究所学报,1986年第1期
[11]梁文娟,陈增高。船舶碰撞力和能量吸收。交通部上海船舶运输科学研究所学报,1992年第2期
[12] Gerard, G. "The Crippling Strength of compreSSion
ElementS", Journal of the Aeronautical audiences
(1958)
[13] Hedrik. Gluver & Dan Olsen "Ship Collision
AnalySis", Balkema, ROtterdam, ISBN (1998)



