【摘要】本文着重介绍了斜拉桥计算机辅助设计系统(CBD)的系统功能、数据组织及系统中采用的关键技术。并建立了斜拉桥索力调整的非线性规划模型,其中以斜拉桥梁和索塔的拉压及弯曲应变能为目标函数,以结构的
位移、弯矩及索力为约束。采用梯度投影法进行求解用以确定成桥合理状态的索力。
关键词 斜拉桥 CAD 优化
一、前言
我国铁道部和交通部的一些设计院以及一些院校、科研单位为满足生产需要,研制了不少能用于斜拉桥结构分析的软件。但这些软件仅具有斜拉桥结构分析的功能。目前国内外尚未见斜拉桥初步设计CAD系统应用于生产。
在斜拉桥设计中,设计工程师最重要的工作之一是确定斜拉桥的初始张拉力以获得一个合理的成桥状态。但由于判断合理成桥状态的准则不具唯一性及施工安装中预应力和徐变的影响,使该过程必须进行大量繁琐的工作如节点、单元划分、数据填卡、结果整理与分析等,从而花费设计工程师相当可观的精力。预应力混凝土斜拉桥计算机辅助设计系统(以下称"CBD系统")是铁道部科技重点开发项目的一个子题,系统立足于通过用户输入必需的结构描述信息后,能全自动地划分节点、单元,根据用户要求进行调索计索计算、正装、倒拆计算及各工况荷载的结构分析,输出结构设计图、主要工程数量及结构分析结果等。利用本系统,用户在预应力混凝土斜拉桥设计中可方便、灵活地修改结构尺寸、反复调索,并迅速得出结构反应值和相关图表,使工程师从繁重的数据处理中解脱出来,而将绝大部分精力集中于结构的优化上,以获得更为经济合理的设讯
二、系统简介
1.系统环境
CBD系统在微机上开发,系统的计算分析核心程序用FORTRAN编写,用户界面及主控程序、数据库管理系统用
VC编写。图形环境为AUTCAD V14.0。
2.系统功能
(l)自动划分单元、节点、生成单元节点图。
(2)自动按刚性连续梁法调索。也可由用户输入控制节点位移或控制索力值进行调索。也可由用户输入控制节点位移、控制索力值的上下限或梁塔截面弯矩的上下限值由系统进行优化调索。
(3)调索后的恒载内力与索力计算。
(4)活载内力与索力计算。
(5)按施工逆序倒拆,计算一次安装索力。
(6)施工安装各阶段内力计算。
(7)生成斜拉桥总体图及梁、塔结构图、工程数量表。
(8)系统管理:系统所有功能的实现均由中文案单控制,界面友好。系统的数据输入有引导方式(中文提示)、文件方式两种。
3.适用范围
(l)桥位于直线上。
(2)斜拉桥最多有三跨,跨度及塔可以不对称。
(3)斜拉桥两侧的连续引桥跨跨数不受限制。
(4)单、双铁路桥或任意桥宽的公路桥。
(5)斜拉桥主墩间可设辅助墩。
(6)塔、梁均为混凝土结构。
(7)塔、梁、墩连接形式有:悬浮体系;梁支承于墩上;塔、梁、墩固接。
(8)塔的类型有:栈桥向为柱型、门形、钻石形及倒Y形。顺桥向为柱型及倒Y形。但横、顺桥向不能同时为倒Y形。
4.系统结构及功能模块
CBD系统共分为四个主要功能模块,共设3级子菜单。全部采用下拉式(见图1)。功能菜单结构分析中的一次性计算指包括施工安装、成桥二期恒载、活载、徐变、温度的全部计算。
5.数据库管理
CBD系统为满足系统内部的计算分析、数据交互及各种图形的输出开发了数据管理系统。所有数据均由数据库统一管理并支持FORTRAN语言、C语言和AUTLISP语言从而减少了不同语言调用数据时的大量临时数据文件。此外,数据库中存放有大量已建成的斜拉桥的各种数据,在系统菜单的帮助功能中可随时查阅。
三、系统关键技术
CBD作为一个预应力混凝土斜拉桥的大型计算机辅助设计软件,具有输入数据少、自动化程度高的特点。软件编制过程中采用了以下主要技术:
1.优化模型的建立
(1)影响向量及影响矩阵
斜拉桥索力优化计算模型中一般取斜拉索的初张力作为变量,以各索力的单位初张力作用于无应力状态的全桥模型,得到对全桥各单元内力的影响值而组成影响矩阵。如定义{x}为索力初试张拉力。[DA」,[PA」为节点位移、索力在某单位索力作用下的影响矩阵。
{DD},{PD}为节点位移、索力在结构自重作用下的数值组成的列阵。则成桥状态的节点位移为:{D}={DD}+[DA]{X}。各斜拉索索力为:{P}={PD}+[PA]{X},各截面的内力为
[ML]={MLD}+[MLA」{x};[MR」={MRD}+[MRA]{x}
[NL」={NLD}+「NLA」{x};[INR]={NRD}+[NRA]{x}
其中,{MLD},{MRD},{NLD}及{NRD}为单元弯矩、轴力在结构自重作用下的左右端数值,[MLA」,[MRA」,[NLA」及[NRA」为单元两端弯矩、轴力在单位索力作用下的影响矩阵。{ML},{MR},{NL},{NRI单元两端弯矩和轴力的成桥内力列阵。
(2)优化目标
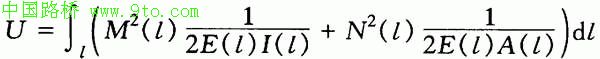
有约束的最小能量法的优化目标可选梁部及索塔的弯曲应变能或梁部及索塔的拉压及弯曲应变能。也可仅取梁部的弯曲应变能等。本文以梁部及索塔的拉压应变能与弯曲应变能之和为优化目标函数。该函数可表达为
如假定在各个梁塔单元内部中的材料弹性模量、截面积和惯性矩相等,则上式可以由下式代替:
式中,MLi,MRi,NLi,NRi分别为单元左、右端的弯矩和轴力,Ei,Ii,Ai分别为单元的弹性模量、截面积和惯性矩,m为梁、塔单元的总数。弯矩及轴力的表达式可作进一步变换:

式中,D为与X无关的项组成的常数。[G]为X的二次项的系数组成的矩阵,{F}为X的一次项的系数组成的列阵。「G」和{F}的实质是由结构梁柱单元中由调整索力引起的拉压应变能与弯曲应变能组成的矩阵。
(3)优化约束
a.索力约束
斜拉索的索力在成桥状态及运营过程中,考虑到强度和疲劳间题,应约束索力的上下极限值。另外,初始张拉力及正常使用过程中的索力应为大于0的拉力,以确保斜拉索的有效。因此,索力约束可表示为
一{x}<0;{PD}十[PA]{X}≤{PU};({PD}十[PA]{X})≤{PL})
式中,{PU},{PL}为指定的索力上下极限值。
b.位移约束
斜拉桥的梁部线型及索塔的水平变位由于在施工过程中可采用预设反拱度的方法以达到理想状态,但由于斜拉桥各部位的计算变形值能直观地反映全桥的设计是否合理,所以仍是设计师非常关心的。位移约束可表示为
[DA]{X}十[DD≤{DU};一[DA]{x}一[DD]≤{DL}
式中,{DU},{DL}为指定的位移上下极限值。显然,如果不指定任何节点的位移,就不考虑该项约束。
C.弯矩约束
斜拉桥各部分的弯矩大小同样是设计师最为关心的。设计师在要求结构各部分的弯矩较为均匀的同时,在施工设计中往往要指定某些截面在成桥状态下弯矩的上下限值以满足考虑活载后的预应力索布置。弯矩约束可表示为
{MLD}+[MLA]{x}≤{MU};一{MLD}一「MLA」{X}≤一[ML];
{MRD}+[MRA]{x}≤{MU};一{MRD}一[MRA]{X}≤一{ML}
式中,{MU},{ML}为指定的弯矩位移上下极限值。显然,不指定任何截面的弯矩时,就不考虑该项约束。
(4)优化模型及优化方法
综上所述,斜拉桥索力优化数学模型可归结为
其中,目标函数中的常数项D不需列入,可减少计算时间。而弯矩上下界及位移上下界约束的个数及所对应的节点或单元均可任意指定。
以上优化数学模型为二次规化问题,本文采用梯度投影法求解。由于目标函数与约束函数对变量的梯度均可用显式表达,所以该方法较其他优化方法更适合本文模型,并且由此使得优化计算速度和精度大大提高,算法也非常稳定。
优化迭代时,用户可任意指定收敛精度与选代次数,不致因在所要求的约束上下界范围内无可行解时造成算法失败。
从上述模型中可得出:如将各约束的上下限取的非常接近,则本优化计算模型与刚性成桥连续梁法和指定节点位移或索力的方法完全一致。因此,刚性成桥连续梁法或指定节点位移或索力的方法本质上是本文方法的特解。此外,若为带连续边跨或辅助域的斜拉桥,则目标函数中就包含了全部单元的能量,约束中同样可对全桥任意节点位移或截面弯矩进行约束。
(5)优化初始可行点的形成
对上述二次规化问题用梯度投影法求解时,要求初始选代点为可行解。当约束条件较多时,要求用户输入可行的初始点不易做到。虽然用户可以从无约束到有约束,或从约束上下界的大范围到小范围逐步进行试算找出初始选代点,但无疑将降低本方法的使用性能。
鉴于此,本文利用优化方法可自动求出可行的初始点。问题归结为如下优化模型;
其中,ci(X)为数值大于0的约束,而ci(X)为满足小于0条件的约束对应的矩阵。因为目标函数与约束函数均为线性的,只要(4)中的优化模型是相容的,同样用梯度投影法选代几步就一定能找出可行的初始点。当然,如果(4)中的优化模型是不相容的(无可行解),则说明所指定的各约束上下界相互矛盾。此时应对之作出相应修改。
2.徐变计算及倒拆方法
在徐变计算时,考虑到不同的部门对徐变的计算采用不同的计算公式与方法,BCD系统为适应不同用户的需要,可分别选择老化理论、徐变体理论、公路桥规的方法计算徐变。
通过调索达到理想的成桥恒载受力状态后,要通过倒拆分析得出安装斜拉索时的初始张拉力。斜拉桥倒拆分析时,原则上无法进行徐变计算【2】,这是因为徐变计算时要用到前一施工安装阶段的初始位移。但如果倒拆分析时不记徐变与混凝土收缩的影响,正装结束时就不可能达到预期的成桥状态。即使用迭代方法也很难闭合【6】。
徐变老化理论的一个特点是:已知结构的初始内力就可求出徐变终了时的结构内力,反之,已知结构徐变终了时的结构内力,也可求出结构初始的内力。考虑到老化理论的这种特殊性,如果在倒拆及正装分析时用老化理论进行徐变计算,则容易接近闭合。
3.基础自动化设计
CBD系统的桥墩扩大基础、墩台桩基础设计采用本院开发的扩大基础优化设计程序及本院与铁道部第四设计院联合开发的空间桩基优化设计系统进行各项桥规规定的检算。上述两程序已在生产中大量使用。保证了CBD系统中对两类基础设计的正确、经济及自动化。大大减少了设计人员的计算工作量。
4.人一机交互功能
CBD系统的人一机交互根据数据输入或修改的不同特点,提供了图形交互与数据交互两种方式。
鉴于斜拉桥设计中可供选择和使用的桥墩、桥塔、基础及梁截面类型多,如对每一类结构都用结构数据进行描述,则此类描述数据十分复杂。为方便用户,系统针对每一结构都配置了结构图的幻灯片,数据输入时,系统将根据用户在菜单中选用的结构类型自动弹出相应的幻灯片,以工程师熟悉的图形方式配上中文提示,所需参数信息都出现在该图形上。用户对照输入即可,操作非常方便。数据输入或修改后的结果,系统将采集人数据库,供后续计算与绘图调用。该类数据主要包括梁、塔、墩及基础截面数据。
对设计中一部分不便于图形表示的信息,系统提供了数据交工方式。交互界面为汉化提示的数据输入窗口,用户通过激活"输入与显示数据"窗口,对照提示信息进行输入或修改数据。该类数据包括河床地面数据、车道数、偏载系数、荷载等级、结构体系信息、约束数值及结构材料等。
5.图文输出及其他
CBD系统在得到结构的描述信息后可自动划分单元,并进行单元与节点的自动编号,从而避免了由于结构改变而进行的重复工作。经施工安装计算后可根据恒、活载内力自动配置梁内的预应力索。
CBD系统提交给用户的设计成果为一系列图表,包括作为设计文档的原始数据分类表,设计过程中的中间计算图表及作为设计成果的桥式布置图。用户可通过绘图仪输出。CBD系统研制完成后经过对几座大跨度斜拉桥的计算分析【3】,由系统生成的结果令人满意。证明了系统的各项功能完全正确。
此外,系统对用户输入的数据具有较强的检查及提示功能,最大限度地减少了原始数据的输入错误。
四、结束语
(1)针对预应力混凝土斜拉桥计算中的调索问题,BCD系统提供三种调索方法供用户选择,以满足不同的用户对结构不同的要求。使之成为用户真正的助手。
(2)以斜拉桥梁和索塔的拉压及弯曲应变能为目标函数的索力优化方法能全面反映全桥结构对斜拉索初张力的响应。使优化结果更为合理。
(3)梯度投影优化方法的采用及初始可行点的自动形成,保证了算法的稳定及精度。
(4)系统提供了完善的人一机交互功能,并且各种内力均以图形与数据的方式提供给用户,使设计人员从大量、繁冗的重复计算中解脱出来,而致力于整个结构的论证比选,提高了设计效率与设计质量,缩短了设计周期。
(5)基础优化设计方法的采用可完成基础的自动化设计与检算。
(6)本系统还应在实际应用中不断完善与扩充各项功能。
参考文献
[1] 林元培.斜拉桥,北京:人民交通出版社, 1997. 6
[2] 周明,陈政清.确定斜拉桥初索力的拉格朗日乘子法.中国公路学会桥梁和结构工程学会一九九七年桥梁学术讨论会论文集.人民交通出版社,1998
[3]肖汝诚.结构关心截面内力、位移混合调整计算的影响矩阵法.计算结构力学及其应用,1992,9(1):91~98
[4]杜国华,毛昌时,司徒妙龄.桥梁结构分析.上海:同济大学出版社,1994



