[摘要]用修正索的弹性模型、无弹性索假定和有弹性索假定三种方法,以斜拉索梁端张力的竖向分力为已知量,求索的斜率、张力、无应力索长等的静力解。并以设计实例进行计算,通过对比分析计算结果,得出一些结论。
关键词 斜拉索 斜率 张力 无应力索长 静力解
一、前言
斜拉索具有高度的几何非线性,其精确计算主要有三个目的:一是确定索端斜率和张力,以指导施工过程中套管的精确定位、挂索、张拉、索力调整等步骤;二是确定索的无应力长度,使在设计张力作用下,成桥状态时的桥梁线形符合设计要求;三是利用解得的成桥时索长、索力的精确解对成桥状态斜拉索弹性模量进行修正,有助于桥梁整体准确地静动力分析。对拟弹性直杆斜拉索的弹性模量进行修正(Ernst公式或精确的等效公式)和近似方法简便快捷,便于手算,但随着索长和倾斜度的增大,采用该法受到限制。为求得斜拉索精确静力解,文献[1]从整体平衡出发,推导了部分精确解,以常量索的水平分力几为已知量来求解;文献[2」假定索为无弹性柔性索,以索梁端张力的竖向分力TAv为己知量,建立了计算索梁端倾角的迭代公式,进而推导出求解斜率、张力和索长的方程,但未给出无应力索长的解;文献[3」从微元体平衡出发,以索梁端张力的竖向分力TAv为已知量,对不考虑弹性和考虑弹性两种情况,分别建立了计算索梁端张力的选代方程和方程组,进而推导出求解斜率、张力和索长的解析式。由于在斜拉索设计中,无论实际是在哪端张拉,在确定索初始张拉力时,直接得出的都是索梁端张力的竖向分力,因此,文献[2]和文献[3]的方法有很好的实用性。
本文在完善了相关文献计算公式的基础上直接给出了斜拉索静力计算三种方法的计算公式,最后以实例用三种方法计算对比了计算结果,得出一些结论。
二、索的状态
对于柱式或门柱式塔,栈桥向每侧的索一般均设计在同一个平行于桥轴线的垂直平面内,而对于更一般的情况,即对于A字型、花瓶形或钻石形塔,横桥向每侧的素并不在同一个平行于桥轴线的垂直平面内。每一根索各处在通过其自身的垂直平面内。对于每一根索,其梁端坐标(XA,YA,ZA)和塔端坐标(XB,YB,ZB)决定了索在空间坐标系OXYZ中的位置
(图1)。通过几何关系,可将索由空间坐标系向通过索自身的垂直平面oxy内转换。在oxy平面内,索的水平投影长度
,垂直投影长度h=
。因此,索为两端铰接于锚固点,承受两端沿切线方向的张力TA,TB和自重的空间曲线。索的弹性模量为E,截面面积为A,自重集度为q,索在oxy平面内的梁端斜率为KA,塔端斜率为KB。在oxy平面内可求解索的斜率,张力,索长和无应力索长,若需要,还可进而实现斜率,张力和索长由oxy平面向OXY坐标系的转换。
三、修正弹性按量法的计算公式
修正弹性模量法将斜拉索视为一弹性直杆,对斜拉索的弹性模量进行修正,从而把拉索自重引起的几何非线性问题线性化。修正弹模的Ernst公式表示如下:
事实上,Ernst公式只是斜拉索精确的等效弹性模量在索处于水平这样一种特殊情况下的公式。对于处于一般状态下的索,Ernst公式是近似的等效弹性模量,精确的等效弹性模量表示如下:
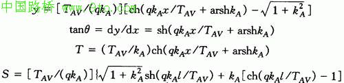
修正弹性模量法求解斜拉索的方程、任意点斜率、两端张力、索长的解析式如下:
中心坐标为X的索微段ds的伸长:
则索的总伸长:
其中,
式(6)可用分段求和法求解,分段数控制解的精度。
则无应力索长为
S0=S-ΔS
四、无弹性假定科拉索的计算公式
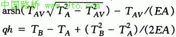
由文献[2],通过取脱离体建立静力平衡方程并求解,可得索梁端斜率的迭代方程(文献[2]式(12)):
并进而求出以kA为变量的斜拉索方程、任意点斜率、任意点张力、索长的解析式(参见文献[2]如下:
又由文献[2」知索微段长:
索微段伸长量为
则索全长伸长量为
令![]()
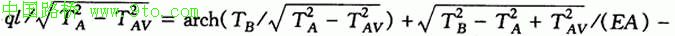
则积分得

则无应力索长为
S0=S一ΔS
索跨中矢度为
f1/2=h/2-y1/2。
索最大矢度发生在斜率为h/l的点处,为该点对应的直线与曲线的y值差,解得
五、有弹性假定斜拉索的计算公式
由文献[3],通过取微元体建立静力平衡方程,可得求解索梁端张力的迭代方程组(文献[3]式(19),(20)):
方程组以索梁端斜率为独立变量推导而出,实际上也是索梁端斜率的迭代方程。由式(18)有
又已知
将式(19),(20)代人式(17),可得索梁端斜率的迭代方程:
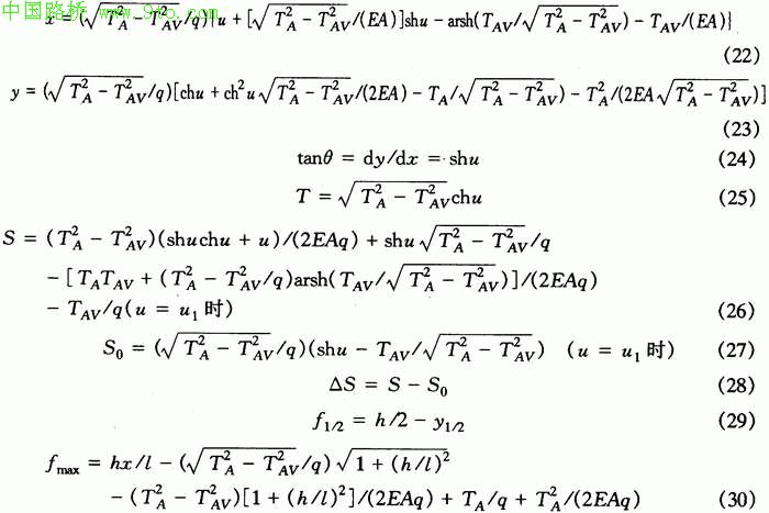
由式(19),(20),(20)可迭代求解知,并进而求出以知为变量的斜拉索方程、任意点斜率、任意点张力、索长、无应力索长、伸长量、跨中矢度、最大矢度的解析式(参见文献[3])如下:
式(30)中,X为曲线上斜率为h/l的点的水平坐标,由式(24)求解u,代入(22)求解x。
六、计算实例
以跨长江某斜拉桥为例,取中跨最长索、最短索和中间索用三种方法计算。计算中有关非线性方程采用区间对分搜索法求解,计算采用了双精度。已知参数见表1,计算结果见表2
七、结论
(1)方法1将斜拉索视为弹性直杆,因此不能修正斜率、张力和索长,且索不存在竖向挠曲;而方法2,方法3建立在柔性索静力平衡关系上,因此能够修正斜率、张力和索长,且能求解索的竖向挠度。
(2)方法1中,由于精确的等效弹性模量公式考虑了平行于索方向的索自重分力的影响,因此Eeq2<Eeq1,ΔS2>ΔS1,且随着索长和倾斜度的增加,差值有所增大,但由于K值一般很小,这种差值也很小。可见,在假定索的初应力和最终应力近似相等的前提下,Ernst公式有很好的近似性。
(3)方法1是近似方法,方法3是最符合实际的精确解,方法2是忽略索弹性伸长并引起截面积变化的精确解。由结果可见,方法2和方法3求出的斜率、张力、索长和无应力索长十分接近,且在索长较短、倾斜度不大的情况下,各值几乎相等。而方法论1同方法2方法3相比较,各值只在索长较短、倾斜度不大的情况下较为接近,否则,相差较大。因此,在初步设计阶段或施工图设计阶段对索进行估算时,应用方法1简便快捷;而在施工图设计阶段要求对索进行精确计算时,须用方法3或方法2。二者计算结果均满足工程精度要求。
(4)在对成桥后全桥进行整体静动力分析时,须用方法3或方法2求得的索长、索力对斜拉索弹性模量进行修正,才能更准确地分析斜拉索几何非线性因素对全桥受力的影响。
(5)无论是方法2或方法3,二者计算的索跨中矢度和最大矢度几乎相等,因此可认为最大矢度就在跨中而予以直接计算。另外,由于方法3考虑了索的弹性,其计算的矢度值较方法2略小。
参考文献
[1」李强兴.斜拉索静力解.桥梁建设,1996(3)
[2]程伟,易伟建,刘光栋.斜拉桥柔性索线型分析及快速迭代计算方法.公路,1998(6)
[3]魏建东,赵人达,车惠民.斜拉桥中拉索的静力设计.桥梁建设,1999(2)
[4]林元培.斜拉桥.北京:人民交通出版社,1997
[5]洪显诚,刘志英.精确的斜拉索等效弹性模量公式的推导.全国桥梁结构学术大会论文集.同济大学出版社,1992



