【摘要】本文结合某大桥,对地震危险性分析的基本原理和计算方法进行了详细介绍,并根据桥址场地建立了地震反应分析模型。通过对该桥桥址处的地震危险性分析,得出了桥位处的地震动参数,并合成了桥址处基岩人工波时程和场地土人工波对程。
关键词 地震危险性分析 地震动参数 人工波时程
某大桥的主桥采用净跨径180m的等厚度悬链线箱肋拱。桥位所处路段属于地震频繁带,根据1990年《中国地震烈度区划图》确定该路段为规度区,大桥按规度设防。桥位处困地质条件较差,为满足抗震要求,全桥下部基础均采用桩基础,桥台采用重力式U型桥台。设计荷载等级:汽车一超20级、挂车一120。
一、输入地震动参数的确定
1.地震危险性分析计算原理
设有N个统计区对场点的地震危险性有贡献,相应于第对个统计区的场点地震动年超越概率为Pn,则场点总的地震动年超越概率为
地震统计区是地震活动性分析的基本单元,它应具有统计上的完整性和地震活动趋势的一致性。地震时间过程符合分段的泊松过程,t年内平均发生率为V1,则其中Pkt为统计区内未来t年内发生K次地震的概率:
统计区内大小地震的比例遵从修正的Guternberg-Richter震级频度关系,相应的震级概率函数为
其中,β=b-Ln 10,Mμ为统计区的震级上限。
其中, n为统计区内能够发生 m±0.5Δm级地震的潜在震源总数。
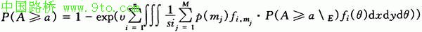
根据分段泊松分布模型和全概率定理,一个统计区内所发生的地震在场点所产生的地震动(A)超越给定值(a)的概率为
![]()
其中,P(mj)为统计区内地震落在震级档mj±0.5Δm内的概率:

由以上两式可得
式(7)即为计算一统计区内发生的地震在场点产生地震动的年超越概率公式。其中P(A≥a「E)为第i个潜在震源区内所发生的一特定的事件(震级为mj±0.5Δm及椭圆长轴走向均确定)时场地地震动超越a的概率。fi(0)为第i个潜在震源区椭圆长轴走向的取向概率。式(7)中的地震活动性参数,如年平均发生率对及产值都是在统计区范围得到的。式(3)中的震级上限也是指统计区的震级上限,而不是某一确定的潜在震源区的震级上限。
关于危险性分析中衰减关系残差项的不确定性校正,采用通用的校正公式:
二、大桥工程地区的地震动参数衰减关系
本文中,地震动衰减采用椭圆形式,其衰减关系为
根据美国西部地区的地震动参数衰减关系、烈度衰减关系,及大桥工程地区烈度衰减关系,在数值拟会时,利用多随机变量拟会技术求得所用的基岩水平地震动加速度峰值衰减关系的系数值和反应谱衰减关系的参数值。
三、基岩地震动参数估计值
采用以上所述方法,根据地震危险性分析、场地附近潜在震源区划分与地震活动性参数资料及地震动参数衰减关系,可得到场地相应基岩地震动参数在不同概率水平下的结果。未来50年内,63%,10%及3%超越概率水平下的基岩地震动反应谱值如表1所示。
四、场地基岩地震动时程
影响地震动的主要因素包括震源机制、地震波传播路径和场地条件等。根据区域地震地质构造、地震活动性研究资料,用相应的基岩地震动加速度峰值衰减关系和反应谱衰减关系,计算的基岩地震动加速度峰值与反应谱值包含了震源和地震波传播路径对场区地震动的影响。
以基岩加速度反应谱和峰值为目标,用数值模拟的方法合成地震动时程,作为工程场地土层地震动力反应分析的地震动输入值。
1.方法简介
目前,我国工程地震常用地震动合成方法有以下几个步骤:
(1)用反应谱与功率谱的近似转换关系,将目标反应谱转换成相应的功率谱,其转换关系为
式中 ε--阻尼比;
S(ω)--功率谱;
Sa(ω)--目标反应谱;
T--持续时间;
r--超过目标反应谱值的概率。
(2)用三角级数迭加法,生成零均值的平稳高斯过程:
(3)将平稳时程乘以非平稳强度包线,得到非平稳的加速度时程:
a(t)= φ(t)x(t)
非平稳包线函数为如下形式:
式中t1--峰值的上升段;
t2-t1--峰值的平稳段;
t--持续时间;
C--峰值的衰减系数。
t1,t2-t1和C由统计计算得出。
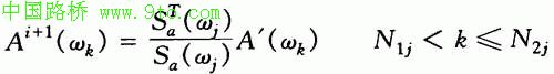
由于式(10)表示的反应谱与功率谱的关系是近似关系,所以按初始时程a(t)计算出来的反应谱一般只近似于目标谱,符合的程度也是概率平均的。为了提高拟合精度,还需要进行迭代调整。通用的方法是按下式调整式(11)中的傅氏幅值谱:
通常。ω1j~ω2j按下述方法选取:

将频段ω1j~ω2j称为则的主控频段。对于目标谱控制点ωj,迭代运算时只改变主控频段的幅值港,这是因为在整个频段中,由于共振原理主控频段频率分量的改变对ωj反应谱的变化最为敏感,另一方面调整幅值谱时还应尽量将幅值谱变化的影响局限在特定的控制频率附近ωj,以避免在拟合ωj频率处目标反应谱时对其邻近控制频率处的反应谱带来过大的影响,对幅值谱进行多次选代修正,即可使反应谱向目标谱逼近。在对幅值谱进行选代修正的同时,还对相位谱进行迭代修正。
2.持续参数的确定
本文的地震动持续时间的选取参考了下式:
![]()
式中持续参数,可以是t1,Ts,c;
Ts--峰值平稳段的持时,即t2-t1;
M--震级;
R--震中距。
利用地震危险性分析的结果,可得到对应于50年各超越概率水准的地震动包线函数。
3.基岩地震动时程的合成结果
在合成基岩地震动时,50年超越概率为63%, 10%和3%,所对应的目标加速度峰值和反应港取危险性分析得到的结果(见表1)。根据所给参数分别合成三个概率水准的地震动时程。为了考虑相位随机的影响,每个概率水准都会成三个不同随机相位的地震动时程样本。合成的时程均以0.02s为间隔,其离散点数为1024。在合成过程中,利用逐步逼近目标港的方法,使合成的加速度时程精确满足加速度峰值,并近似满足时程曲线及加速度及加速度反应谱,拟会相对误差小于5%。
五、场地地震反应分析模型
1.基底输入面的确定
强震地面运动实际上是基岩输入波经土层滤波作用的结果。从土动力学的观点,土层的滤波作用主要由三个因素决定,即覆盖层厚度或基岩埋深结土阻抗比和覆盖层深度范围内剪切波随深度的变化特征。
基岩面以上的上层厚度即为严格意义上的覆盖层厚度。这一意义普遍超出了工程上允许考虑的尺度,另外,对建筑物的破坏作用主要是地震波中的中短周期成分,深层介质对这些成分的影响并不显著,故覆盖层厚度不必考虑得很大。理论研究表明,当下层波速远大于上层波速时,由上而下传播的SH波到达岩土界面时,只有很小一部分能量向下透射,即可把下卧土层当做基底输入面。而这样理解的覆盖层厚度可能会很大,实际应用中困难不少。还有学者建议,当相邻两土层剪切波速Vs下/Vs上≥2(相对标准),且下面无更软弱层时,这样的土层界面深度定为覆盖层厚度,在工程实际应用中,相对标准很难掌握,因为更下的土层实际上一无所知。
根据大桥桥址及附近场地的地质钻探勘察资料,桥址的基岩面取为弱风化花岗石层的顶面,因此,用于场地反应计算的基底输入面即为桥址处的基岩面。
2.一维等效线性波动法
桥址处的地震反应用一维等效线性波动法求解,基本步骤为:①确定地震输入面,并对土层进行分层;②确定各层的初始剪切模量Gj和阻尼比ζj(j=
1,2,0, n),并由边界条件计算剪切应变传递函数;③对输入地震动a(t)进行富氏变换得v(w,Zm),m为地震动输入层号,Zm为该层内深度;④根据剪应变传递函数和输入地震动v(w,Zm),确定土层中各点的剪切应变的频域表示r(iw,Zm),经富氏逆变换得到其时域过程γj(t,Zj),并根据简谐振动概念,将其等效力平均应变振幅γj=Cγj,max,C通常取0.65
;⑤对比计算得到的γj,与假设的等效模量Gj与阻尼比ζj是否相符,若不相符,则由计算结果重新假定Gj与ζj,迭代求解,直至Gj与ζj全部满足给定的精度要求为止。
六、桥址地震反应计算与地震动参数
1.地震反应计算
用一维等效线性波动法对4个控制点(玉溪方向2孔,元江方向2孔)进行土层地震反应计算。给出各孔地面三种概率水准下的加速度时程和峰值加速度表3,并计算相应的加速度反应谱。用FFT技术给出各点地面三种概率水准下的速度时程和峰值速度。由于每个孔在同一概率水准下有3条地震动输入波,所以每个孔有3组地面运动参数,取平均值作为控制点的输出,得到4个孔位的地面峰值加速度和峰速度以及加速度反应谱。
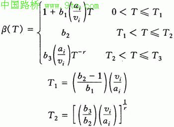
2.设计地震动反应谱的双参数标定
我国一般工业与民用建筑的抗震设计方法仍建立在反应谱理论的基础上,为便于工程应用,设计反应谱上3个频段之间的分界点是十分明确的,但事实上,地震反应谱拐点周期是不明确的;就一条强震记录而言,反应谱拐点是模糊的;就不同的记录(同一地点的不同记录或同一地震不同地点的记录)而言,拐点周期可能变化很大。研究表明,用地震动峰加速度和峰速度值标定设计地震动反应谱更为合理。本文采用设计地震动反应谱的双参数标定模型。
抗震设计的加速度反应谱一般表示为
SA(T)=αβ(T) (16)
用比值V/a标定β(T)的模型为
式中,i为强震记录数,T3=3s,a为峰加速度,v为峰速度。
为确定式(l7)中的常数b1,b2,b3,r,要求目标函数
![]()
为最小。选用世界范围内254个观测点的500条水平向强震记录,所有水平峰加速度a≥0.05g,接式(19)的要求,用搜索法求得:
b1=1,b2=2.25,b3=10,r=1 (20)
将式(20)代人式(17),得
将式(20)代人式(18),则得拐点周期T1和T2的标定式,T2 即为特征周期。
T1=1.25(vi/ai),T2=4.44vi/ai)(22)
3.桥址处地震动参数
桥址处的地震劾参数是指桥址处ZK36, ZK40,ZK46,ZK49的地震动参数,包括地表水平加速度峰值及水平地震系数K;地表水平加速度时程及其反应谱;反应谱的动力放大系数β及特征周期Tg。这些参数,根据计算结果由表2给出。表2所示各孔位地表50年三个超越概率水平下的峰值加速度Amax,水平地震系数K,特征周期Tg(s),动力放大系数β。同一时间段同一超越概率水平下的4孔地震动参数平均值即为大桥工程场地的地震动参数。它们是50年超越概率63%,10%,3%水平的Amax,K,Tg,β值分别为:
这些参数可供大桥抗震设计选用。
参考文献
[1]胡学贤.地震工程学.北京:地震出版社, 1988
[2]陈英俊,甘幼圳深,于希哲.结构随机振动.北京:人民交通出版社,1993
[3]杨智贤,梁秀英.云南主要地震带的震源参数



