关键词 连续刚构桥 车桥耦合振动
一、引言
在建造山区铁路时,由于受地形条件限制,不可避免地要建造高墩桥梁。我国西南地区已建成的南昆线中的清水河大桥的主墩高达100m,在建中的内昆线的李子沟大桥的墩高已超出百米,高达107m,拟建中的赣龙线中也有墩高近达百米的高墩桥梁。结构体系也从七、八十年代的简支梁(桥墩仍采用重力式)过渡到现在的连续刚构桥梁,相比之下后者相对较柔,这种相对较柔的桥梁的车桥耦合振动需要进行研究。
二、车桥横向耦合振动分析模型
列车在桥上行驶时,车桥系统的振动是耦合的,应把车辆和桥梁作为一个统一的动力体系进行研究。但由于列车在桥梁上的移动,而使整个动力体系的质量分布是随时间变化的,因此结构的振动微分方程是变系数的。为了处理问题的方便,把车桥系统分为列车与桥梁两个子系统,之间通过位移和力的协调条件使两者耦合,车桥在轮轨接触点处的相互作用力对车辆和桥梁两个子系统来说均是外力。
1.车辆动力学模型
车辆一般主要由车体、转向架构架和轮对组成,各部件之间用弹性元件和阻尼元件相联系,在车辆动力分析模型中,一般无需考虑纵向作用力的影响,这样将车体和构架视为刚体时,研究横向振动时每个部件可用三个自由度来描述,即车体和前后转向架的横向位移、摇头位移和侧滚位移;而轮对由于始终与钢轨密贴,故其独立自由度只有两个,即横向位移和摇头位移。因此,对六轴机车共有21个自由度。
对于为一系悬挂的四轴货车,需去掉与一系悬挂相关的自由度,将转向架中的摇枕与车体视为一整体有三个自由度,而四个轮对计有 8个自由度,这样货物列车计有 11个自由度。
2.桥梁模型
桥梁模型采用空间梁单元,每个节点有六个自由度,梁墩之间的联系可根据实际支座的约束条件,采用主从节点的方法处理。质量矩阵采用一阶质量矩阵,阻尼则采用瑞利阻尼。
三、车桥振动方程
桥梁的振动方程写成矩阵形式为
类似的,可将车辆的振动方程写成如下的矩阵形式:
四、车桥系统激振源及车桥耦合几何关系
车辆系统动力学表明,车辆在无任何轨面不平顺的亘线轨道上行驶时,会产生一种轮对一面横向移动,一面又绕通过其质心的铅垂轴转动,这两种运动的耦合称为轮对的蛇行运动。由于假设钢轨是理想平直的,轮对上并未受到来自轨道的激振力,因此蛇行运动是自激的。实际上轨道是存在不平顺而非理想顺直的,轨道不平顺也是诱发车桥系统振动的激振源。振动着的车辆通过桥梁时,必然会引起桥梁的振动,桥梁的振动又反过来影响车辆振动。车辆和桥梁的振动会相互影响而使振动加强,这便是车桥系统振动的耦合效应。
1.轨道不平顺
根据对车桥横向振动的影响,本文考虑以下两类轨道不平顺。
(1)水平不平顺:指左右轮轨接触点的高差,是由左右两轨高低不等造成的。
(2)方向不平顺:指钢轨侧向凹凸不平引起的线路中心方向的变化。
设左右轨方向不平顺用知和个表示,左右轨高低不平顺用Zpl和Zpr表示,则有
水平不平顺
方向不平顺
以上左右轨高差引起的水平不平顺产生的侧滚角为θp=ζp/b,其中b为轨距之半。
轨道不平顺的影响相当于轮对质心相对位置的变化,只要将θp和ζl的影响计入到轮对的相关位移中即可。
2.蠕滑力
列车在直线轨道上运行时,轮对在轨道上并不是纯粹的滚动,而是既有滚动,又有弹性滑动,而弹性滑动会产生蠕滑力。由于轮轨之间存在相对纵横向位移和摇摆位移,因而产生纵横向蠕滑力和摇头蠕滑力矩。而且,轮轨之间相对位移的不断变化使得蠕滑力也不断发生变化,从而形成车辆的蛇行运动规律。
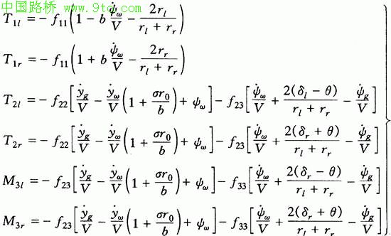
根据Kalker的小蠕滑线性理论【1】,并按文献[2]的相似推导过程,可得左右轮轨接触点处由于蠕滑而产生的蠕滑力为
式中r0,rl,rr--分别为车轮的名义滚动半径和左右车轮的实际滚动半径;
δl,δr--左右车轮的轮轨接触角;
V--列车速度;
σ--侧滚系数;
yw,ψw--分别为轮对的根摆位移和摇头角位移;
yg,ψg--轨面的横向位移和转角位移。
其他各符号的含义见文献[ 2」。
3.车桥耦合几何关系
在进行车桥耦合振动分析时,需将桥梁形心处的位移转换到轮轨接触点处的轨面上,其几何关系如下:
设桥梁横截面形心处的位移为yb,θb,则相应钢轨轨面处的位移为
横向位移 yb+θbHb
扭转角位移θb
其中,Hb为桥梁横截面形心至轨面的高度。进一步计入轨道不平顺的影响,则轮轨接触点处轨面的位移可表示为
横向位移
扭转角位移
轮对相对于轨面的横向位移为yw-yg,此时相应又有侧滚角
其中,
五、连续刚构车桥横向振动实例分析初步
铁路高墩五孔连续刚构桥,其跨径布置为 72.88+ 3 x 128+ 72.88(m),墩高分别为 58,68,96,107,103及39(m)。结构简图如图1所示。
列车由机车和客车或机车和货车组成。根据前人的经验,在进行车桥耦合振动分析时,一般由机车和货车组成的列车对桥梁的激振响应更大。故本文以货物列车(东风4机车牵引20辆C60货车),按车速60~80km/h通过桥梁进行车桥横向振动分析。
车桥系统的振动属随机振动,在此我们采用多次重复计算的办法,取其中每一次的最大值,按具有95%保证概率水平的分位值作为计算分析值。
表1给出列车以60~80km/h的速度过桥时的动力计算结果,从表中可以看出:
(1)桥梁跨中横向振幅基本上随车速的提高而增大,其最大值为
当 V= 80km/h,第三孔跨中, δmax=10.59(mm)
(2)墩顶的横向振幅也基本上随车速的提高而增大,其最大值为
当V=80km/h,第5号墩顶,δmax=5.81(mm)
(3)脱轨安全度为
(Q/P)max=0.192, V=60km/h
(4)轮轴水平力为
Hmax=2.85t,V=60km/h
对高墩,按文献[3」所定标准的验算结果列于表 2。
从表2中可知,墩顶横向振幅和桥梁横向最小自振频率均满足要求。又脱轨安全度( Q/P)max= 0.192,小于文献[4]给出的脱轨系数最小界限值(Q/P)m.m=0.4的规定。轮轴水平力Hmax=2.85t,也介于常遇实测值2.0~3.5t之间。
六、结语
本文按基于Kalker的线性小蠕滑理论,计入轨道不平顺的影响,初步计算分析了铁路高墩连续刚架桥在通过货物列车时的桥梁横向振动响应,计算结果表明所列各项指标均满足要求。
需要说明的是本文对高墩连续刚架桥仅进行了一般的车桥耦会横向振动分析,对高墩桥在其特有情况下(如日照偏晒引起墩顶位移、考虑风的静力效应及脉动效应等)的行车安全问题需要进一步的研究。
参考文献
[1]王福天.车辆系统动力学.北京:中国铁道出版社,1994
[2]詹振生编著.机车动力学.北京:中国铁道出版社,1990
[3]铁路桥梁鉴定规范.北京:中国铁道出版社,1975
[4]中华人民共和国铁道行业标准.铁道机车动力学性能试验鉴定方法及评定标准.中华人民共和国铁道部,1993



