【摘要】本文提出一种驱动并控制桥梁节段模型在风洞中稳态振动以提取桥梁断面颤振导数的新方法。薄平板模型的试验结果证实了方法的可靠性。
关键词 桥梁颤振 颤振导数 强迫振动法
一、前言
作用在大跨度桥梁上的风的动力作用可以分为自激力与抖振力两类。本文研究自激力,它可以导致桥梁颤振坍塌的严重后果,目前广泛认为,自激力可以表示为颤振导数与结构动位移。速度的线性组合形式[1],其中颤振导数描述仅与结构形状有关的空气动力特性。因此,桥梁断面颤振导数的准确识别是特大跨度桥梁空气动力稳定性分析(颤振分析)的基础,因其难度较大而被列为桥梁风工程研究领域的前沿课题之一。
颤振导数识别的基本手段是从节段模型振动信号中提取出颤振导数随无量纲风速变化的曲线。识别方法可以分为自由振动法与强迫振动法两类。与自由振动法相比,强迫振动法具有试验条件明确、易于识别交叉导数项、不需要复杂的系统识别过程及无量纲风速范围不受颤振点限制等一系列优点,近年来日益受到重视。
我们研制成功一套四点驱动装置与相应的数据采集和处理方法,在国内最先实现了强迫振动法识别气动导数。第一期12个工况的试验结果表明:该方法具有良好的精度与稳定性。
二、测试原理与实验装置
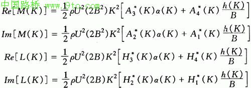
桥梁模型的自激力通常表达为实数形式【1】:
为了方便颤振导数的识别,把式(1)、式(2)转化为复数形式:
为了从以上四式中识别八个颤振导数,专门设计制造了一套风洞节段模型四点悬挂驱动系统与相应的数据采集系统。该系统通过交直交变频装置,驱动和控制节段模型作常振幅、常频率稳态振动。频率无级可调,振幅分级可调。系统有两种工作状态;纯竖向振动与纯扭转振动(俯仰)。系统在图1所示工作状态下,节段模型作纯竖向稳态正弦运动,即
a(t)=0
h(t)=h0sinω0t(7)
式中,h0=常振幅;ω0=驱动电机的恒定圆频率。图1中,平板模型两端分别被两个竖向连杆支承,即连杆1,2,3,4,连杆3,4位于模型的另一端,位置分别和连杆1,2对应。连杆1,3位于模型的中心线上,连杆2,4的偏心距为l。连杆通过专门设计制作的测力天平与模型连接,连杆
1,2,3,4中的竖向力分别记作F1,F2,F3、F4。 F1+ F2+ F3十F4即为整体竖向升力,由F2,F4和偏心距l即可得到对节段模型中心的弯矩。位移h(t),α(t)由安装在连杆上的加速度传感器得到。
某一风速U下测量到的弯矩Mu和升力Lu中也包含与颤振导数无关的部分,即0风速时惯性力、阻尼力和弹性力产生的弯矩M0和升力L0。为了获得(3)~(6)式中的气动力M和L,必须从测量值中减去M0和L0。一旦M,L确定,则从(3)~(6)式中可依次确定
。限于篇幅,信号处理方法从略。
系统在图2所示工作状态下,节段模型作纯扭转(俯仰)稳态正弦运动,即h(t)=0
α(t)=α0sinω0t (8)
式中,α0=h0/l;同样的原理,从(3)~(6)式中可依次确定
。
三、薄平板气动导教的测量
为验证方法的可靠性,第一期试验工作是测量图3所示六角形薄平板节段模型HTPL22的气动导数。模型宽厚比B/h=22.5,因此可与无厚度理想平板的Theodorsen理论解作对比。试验的国防科技大学KD-03闭口直流式低速风洞中进行,试验段竞lm,高0.8m。目前已采用不同频率和振幅作了24次测量。限于篇幅,试验结果的分析另文介绍,这里仅给出一个工况的试验结果。本工况流速从0~20m/s按2m/s的增量增加,振幅h0=8mm,α0=4°,激励频率f=ω0/(2π)被保持在2Hz。不同风速下的测量在流动达到稳定之后进行,为改善精度采集样本足够长。模型的颤振导数测试结果及理论解作为折减风速
的函数列于图 4。从图中可以看出,
几乎与理论解相同,其它导数曲线则与理论解有一定偏离,但变化趋势基本相同。因为
分别取自升力L的虚部与实部,所以不能简单认为
的识别精度优于
的识别精度,其他导数情况类似。更深入的研究正在进行之中。
四、结论
本文报导了强迫振动法在风洞中识别桥梁节段模型颤振导数最新研究成果。试验结果显示:在强迫振动测试中,激励频率可以任意控制,识别的折减速度范围更宽,由于流动稳定之后进行测试,结果不受初始条件影响,具有很好的稳定性。至于驱动频率、振幅对颤振导数测量的影响以及各个导数对模型外形的敏感度、谐波影响等问题,正在通过多个模型的大量试验进行研究。
参考文献
[1] scanlan R.H.,and Sabzevari,A.(1969)."Experimental
aerodynamic coefficients in the analytical study of
suspension bridge flutter."J.Mech.Engrg.Sci.,11(3),234-242



