【摘要】本文从古典耦合颤振理论、分离流颤振模型和三维桥梁额振分析等三个方面简要回顾了空气动力作用下大跨度桥梁风振稳定性研究的历史,比较全面地综述了桥梁额振稳定性理论由简单到复杂,由解析方法到数值方法、由二维颤振到三维额振以及由多模态参与到全模态参与的发展过程。为了便于定量地比较这几种颤振分析理论和方法的适宜条件和精度,以完全流线形的悬臂机翼和钝体截面的上海南浦大桥为例,计算和分析了颤振临界风速的数值结果。
关键词 空气动力学 大跨度桥梁 颤振 稳定性 临界风速
一、前言
浸没在气流中的任一物体,都会受到气流的作用,这种作用通常称为空气力作用。当气流绕过一般为非流线形(钝体)截面的桥梁结构时,会产生涡旋和流动的分离,形成复杂的空气作用力[1]。当桥梁结构的刚度较大时,结构保持静止不动,这种空气力的作用只相当于静力作用;当桥梁结构的刚度较小时,结构振动得到激发,这时空气力不仅具有静力作用,而且具有动力作用[2]。风的动力作用激发了桥梁风致振动,而振动起来的桥梁结构又反过来影响空气的流场,改变空气作用力,形成了风与结构的相互作用机制。当空气力受结构振动的影响较小时,空气作用力作为一种强迫力,引起结构的强迫振动;当空气力受结构振动的影响较大时,受振动结构反馈制约的空气作用力,主要表现为一种自激力,导致桥梁结构的自激振动。当空气的流动速度影响或改变了不同自由度运动之间的振幅及相位关系,使得桥梁结构能够在流动的气流中不断汲取能量,而该能量又大于结构阻尼所耗散的能量,这种形式的发散性自激振动称为桥梁颤振[3]。桥梁颤振物理关系复杂,振动机理深奥,因而桥梁颤振稳定性研究也经历了由古典耦合颤振理论到分离流颤振机理再到三维桥梁颤振分析的发展过程。
二、古典耦合颤振理论
尽管由气动弹性影响所引起的机翼动力失稳现象早在人类实现空中飞行梦想的最初年代里已经观察到了,但是非定常机翼颤振理论直到20年代初才取得了实质性的进展。
1. Theodorsen机翼颤振理论
1922年,Bimbaum利用Prandtl的约束涡旋理论,提出了第一个简谐振动平板机翼的气动升力解析表达式。此后
Theodorsen,Wagner,Glanert,Kussner,Duncan和 Collar等气动专家对二维振动平板的非定常气动力表达式进行了10多年的深入研究[4,5],直到
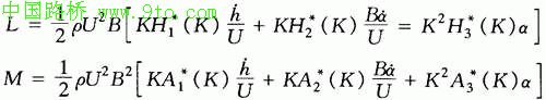
1935年,才由Theodorsen用势能原理第一次求出了这一问题最完整的解答--Teodorsen平板机翼气动升力
Ln和升力矩Mα的表达式[6].
式中,ρ为空气密度;B为机翼密度;U为空气流速;h和
为垂直位移及其一阶导数;α和
为倾角及其一阶导数;k为折算频率,且k=Bω/U;ω为振动圆频率;c(k)称为Theodorsen函数。建立在平板机翼气动力基础之上的机翼颤振分析方法,就是著名的Theodorsen平板机翼颤振理论。类似于式(l)中的空气力解答也曾经由
Kussner和Schwarz,Cicala,Schmieden,Ellenberger等人提出,但是应用最广泛的还是Theodorsen表达力[3-5]。
2.Bleich悬索桥颤振分析
1940年秋天,美国华盛顿州Tacoma悬索桥风毁失事,人们很自然地将这一风振现象比拟为裹冰状态输电缆的驰振或平板机翼的颤振。Bleich试图用Theodorsen平板机翼颤振理论来解释这一事故,但是他发现居此计算得到的颤振临界风速远高于Tacoma悬索桥破坏当天的实际风速。显然机翼颤振系数不能直接用于气动现象更加复杂的钝体截面中,例如Tacoma悬索桥的桁架加劲梁断面。为此,BIeich又尝试用考虑桥面断面两边涡旋影响的附加升力项来修正Theodorsen气动力表达式,并通过逐次逼近方法计算出了较为合理的悬索桥颤振临界风速,从而建立起了悬索桥古典耦合颤振的分析方法[7]。
3. Kloppel/Thiele诺模图
1961年,Kltw和Thiele将BIeich悬索桥古典耦合颤振理论的逐次逼近过程编制成计算程序,引入无量纲参数,分别绘制出不同阻尼比条件下颤振方程实部和虚部为零的两条曲线的诺模图,利用诺模图可以直接求出颤振临界风速[8]。该方法一直沿用到现在,例如ECCS中的附表[9].
4.Van der Put计算公式
1976年,van der put在Kloppel和Thiele诺模图的基础上,偏于安全地忽略了阻尼的影响,认为折算风速U/ωB和扭弯频率比ε=ωα/ωh之间具有近似线性关系,从而导出了平板古典耦合颤振临界风速Ucr的实用计算公式[10]:
式中,r/b为桥梁断面的惯性半径比,即
;b为桥梁的半宽度;m和J为桥梁断面单位长度质量和质量惯矩,μ为桥梁与空气的密度比,即
。
值得注意的是,以Theodorsen机翼古典耦合颤振理论为基础的悬索桥古典耦合颤振理论存在着严重的缺陷,即忽视了流动的分离。由于实际桥梁结构的横断面并非理想的流线形截面或平板,当气流流过桥梁横断面时存在着流动分离和涡旋脱落,而Theodorsen理论并不能反映这种情况[5]
三、分离流颤振机理
当气流绕过振动着的非流线性截面时,在迎风面的棱角处气流将发生分离,同时产生涡旋脱落,也可能发生再附,其流态十分复杂,简单地采用Theodorsen表达式已经不能描述气流作用在非流线体上的非定常空气力[11]。
1.非定常气动力实验测量
Theodorsen机翼气动力表达式是建立在有势流沿着翼面流动基础之上的。一旦气流有分离时,这一假定立即失效,而流动分离所引起的失速颤振现象最早是在螺旋浆和航空发动机叶片上观察到的。由于建立在分离流基础之上的非定常气动力表达式无法找到,因此从30年代开始,人们将注意力转向用实验方法来确定非定常气动力,主要通过两种方法来实施。一是直接测量法,即对确定形式振动的物体,采用拾振器、应变计或其他仪器直接测量气动力分量;二是间接测量法,即间接地从振动的物体上计算气动力的大小,这两种方法同样适用于机翼和桥梁断面。
1958年,Forshing采用直接测量法测得了各种棱柱体的非定常气动力[12],而Ukeguchi等人将
Halfman测量机翼非定常气动力的方法,首次用到了桥梁断面非定常气动力的测定中,他们采用机械方法在两个自由度方向用不同频率的简谐波激发刚体桥梁节段模型振动,在模型的支承处测量气动力[13]。随后这种强迫振动技术在日本得到了很大的发展,被广泛地用来测定钝体断面的气动力和非线性性能[14-16]。近年来,用于高速电子压力扫描阀技术的发展,使得多点同步测量得以实现,这项技术的应用开辟了非定常气动力测量的又一新途径【17】。
与直接测量法相反,间接气动力测量方法一般只需要比较简单的实验设备,但是对实验的要求更高,这一方法在桥梁气动力学中的应用是由Scanlan首创的[l1][18],很快在世界范围得到普及[19][20].
2.非定常气动力计算模型
桥梁结构分离流颤振实验加理论方法的建立与完善是与著名气动力专家R.H.Scanlan的贡献紧密联系在一起的。1967年,Scanlan首先提出对Theodorsen机翼气动力表达式进行修正的建议【11】。Scanlan认为,对于非流线性的钝体截面,不可能从基本的流体力学原理推导出类似于Theodorsen函数的气动函数,但可以通过专门设计的节段模型风洞实验测定小振幅条件下的气动力参数--颤振导数(Flutter
Derivatives)来建立线性非定常气动力计算模型[18]

1974年,Scanlan利用节段模型风洞实验中实测的颤振导数反算出过渡函数(Indicial Function)[21],并与Theodorsen函数进行了比较,结果发现两种函数曲线相差很大,从而找到了利用古典耦合颤振理论分析钝体桥梁颤振问题所造成的误差原因。Scanlan还断言,从理论上找到适合于各种非流线型断面的过渡函数是不可能的。
3.M维颤振分析方法
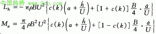
一旦建立了非定常气动力计算模型,气动失稳临界状态就很容易确定了,其中,最典型的方法就是将所谓阿'片条理?quot;应用于气流与结构相互作用之中,确定出一个垂直于桥轴线方向的二维节段,假定沿着桥轴线方向的任意三维影响都可以忽略不计,由此可得二维颤振方程[3]:

式中,J为每延米桥梁结构的质量倾矩;Ch和CG分别表示A和a方向的结构阻尼;Kh和Kα分别表示h和α方向的结构刚度。与传统的机翼颤振类似,阻力方向的振动影响一般忽略不计。此外,还假定二维节段在h和α两个方向的振动是小振幅的同频简谐振动,这样就可以在传统的颤振分析中采用随折算频率变化的非定常气动力。
4.Selberg计算公式
在电子计算机诞生之前,颤振分析的数值计算工作一直是一项枯燥繁重的劳动。为了简化这项枯燥的工作,人们提出了许多颤振简化计算方法。对于平板机翼,由于每一种翼型的气动力表达式都有一定的差异,因此需要对一系列的结构参数进行分析,才能有针对性地进行额振计算,Theodorsen和Garrick[24]在这方面作了大量细致的工作,找到了一些实用的机翼颤振计算公式。而在桥梁结构方面,许多研究人员也作出了相同的努力,其中Selberg实用计算公式是被引用得最多的一种二维颤振实用计算公式[25]:
式中,系数κ是用来修正不同形状的桥梁断面和不同来流攻角的,对于平板断面,κ取1.0。与此同时,Kloppel和Weber,
Rocard,Frandsen等人也先后提出过类似的二维颤振实用计算公式【26】。
四、三线桥梁颤振分析
Scanlan提出的非定常气动力计算模型较好地解决了非流线形截面的非定常气动力描述问题,其中二维颤振分析最为简单实用。但是随着桥梁跨径的日益增大,结构刚度急剧下降,特别是侧向刚度的下降,导致了侧弯与扭转振型紧密耦合。此外,结构各阶自振频率的差异很小,两个或两个以上振型参予颤振的可能性逐渐增加,因此,为了提高桥梁颤振分析精度,有必要寻求更精确的三维桥梁额振分析方法。
1.时域分析法
尽管桥梁颤振分析一般是在频域内进行的,但是也出现了一些时域分析方法。早在70年代初,Scanlan,Beliveau和Budlong采用飞行器设计中的传递函数首先提出了全时域分析方法[21],Bucher和Lin将这种方法推广到了耦合模态颤振[27]。但是,这一方法的主要困难在于寻找与实验所确定的气动导数相对应的合适的过渡函数,特别是当截面为非流线型时,难度更大。近年来,人们之所以投入了大量的精力从事开发有效的非定常气动力的时域表达式,主要是因为这种时域表达式既可与有限元结构计算模型相结合又能包含几乎所有的非线性因素,而这些非线性因素以前是一概忽略的。时域方法的发展是与诸如日本
Akashi桥、丹麦Storebraelt桥和意大利的Messina桥等超大跨度桥梁的规划和设计紧密联系在一起的。
Miyata等人清楚地阐明了时域分析方法在桥梁抖振响应估计中的优越性,特别是在采用有限元结构计算模型时的优势[28],他们在片条假定的前提下,采用了传统的准定常气动力表达式。
Kovacs等人也曾提出过类似的方法[29]。但在另一方面,Diana等人应用不同折算风速下的气动力系数等效线性化方法建立了一种所谓精确的准定常理论【30】,这一理论方法除了不能考虑气动力时效影响和升力的展向相关性之外,在许多方面被证明是足够数确的。
另一种自激力模型是采用与Laplace变换相对应的有理函数来近似表示非定常气动力。实质上,这种思路与过渡函数是完全类似的。Xie等人将这一思想完善成状态空间法用来分析多模态三维桥梁颤振问题【31,32】。类似的方法还曾经由Lin和Li【31】,M.S.Li【34】,Boonyapinio[35],
Fujino[36]等人提出。
2.多模态耦合颤振
三维桥梁颤振分析更多地是采用频域分析方法。放弃片条假定后的三维桥梁颤振分析方法的应用还只有很短的历史,这种分析主要通过两种不同的途径来实现:第一条途径是将频率或时域内的非定常气动力直接作用到结构的三维有限元计算模型上,一般称为直接方法;第二条途径是把结构响应看作是分散在各阶模态上的影响,然后将各阶模态所对应的响应叠加起来,称为模态叠加法。
直接法是由Miyata和Yamada提出的,他们把直接法归纳为用频域内气动导数所表示的一个复特征值问题【37】,这一方法的基本原理简单,但主要缺陷在于需要大容量的计算机来求解费时的复特征值问题。因此,许多研究者提出了另一种方法,即模态叠加法,现有许多种频域内的多模态参予颤振分析方法。Agar[38,39]和Chen[40,41]采用模态计术来求解线性二次特征值方程。作为机翼颤振分析方法一p-k的推广,Nmini等人【42】和程【43】提出了更加一般性的p-k-F法,通过求解模态方为确定颤振前后的状态。更进一步的还有Lin和Yang[44],Jones和Scanlan[45],Tanaka等人[46],Jain等人[47]直接利用行列式搜索法求解广义特征矩阵的复特征值。
几乎所有三维颤振分析都是在频域中进行的,并且基于了模态叠加假定。这一假定认为固有模态之间的动力耦合是通过自激气动力来实现的。然而,值得注意的是,这一假定存在着一些本质上的缺陷。首先多少阶模态和那些模态参与了颤振失稳,特别是在结构跨径很大或在施工过程中结构总体刚度尚未完全达到时,极有可能发生有两个以上的振动模态参与了颤振;其次,这种模态组合仅仅是颤振模态的一种近似表达式,没有任何理由使人们相信这是完全精确的,特别是在参与颤振的模态之间缺乏几何相似性时,颤振模态本身会变得非常复杂。正是考虑到这些因素,有必要建立一种更加综合和精确的方法来分析颤振模态,增进对悬吊体系桥梁气动失稳机理的理解和认识。
3.全模态颤振分析
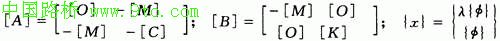
全模态颤振分析方法是由本文作者提出的一种适合于大跨度桥梁颤振计算的方法,它是在Scanlan非定常气动力假定基础上建立起来的一种频域内颤振分析的精确方法,是对多模态颤振分析的一种推广[48,49].
所谓精确方法,主要体现在两个方面,首先全模态方法不再像多模态方法那样将自激气动力作为外力作用在桥梁结构上,而是把桥梁结构与绕流气体作为一个相互作用的整体系统,建立系统颤振方法:
[B]{x}=λ[A]{x}
式中
五、算例比较
为了比较各种桥梁颤振分析方法的适用性和精确性,现以流线型断面的悬臂机翼结构和钝体截面的上海南浦大桥为例,分析和比较颤振临界风速的计算结果。
1.悬臂机翼结构
第一个算例涉及到具有流线型断面的悬臂机翼结构,主要考虑到该结构具有精确的非定常气动力表达式,因而可以求得颤振临界风速的解析解--Theodorsen解,表1列出了分别按照六种不同方法计算得到的颤振临界风速及其与Theodorsen解的相对误差,这六种方法包括Theodorsen解,古典耦合颤振的van
der Put实用计算公式,分离流二维颤振的Selberg实用计算公式,代表三维颤振时域分析方法的状态空间法,代表三维颤振多模态参与频域方法的p-k-F法,以及本文作者提出的全模态颤振分析法[49]。
上述计算结果表明,由于悬臂机翼颤振是一种古典耦合颤振,因此采用Van der Put计算公式精度较高,而采用分离流颤振假定的Selberg计算公式则误差较大,在三种数值计算方法中,全模态颤振分析方法的计算精度最高。
2.上海南浦大桥
第二个算例为上海南浦大桥,该桥是带有双I字梁钝体截面的结合梁斜拉桥,因此,不存在类似于机翼颤振的精确解。表2列出了分别按照其余5种方法的计算结果和弯扭两个模态耦合颤振的计算结果及其与全模态分析结果的相对误差。
上述计算结果表明,Van der Put计算公式和Selberg计算公式均不能用于钝体截面的桥梁颤振计算,而其余四种数值分析方法的临界风速计算结果均随参与颤振的振型数量的增加而增大。
六、结语
大跨度桥梁颤振稳定性分析始于Theodorsen的古典耦合颤振理论,Scanlan结合非流线型的桥梁断面提出了分离流非定常气动力表达式及其相应的分离流颤振理论,在此基础上,逐步形成和完善了二维和三维桥梁颤振分析方法。因此,空气动力作用下大跨度桥梁风振稳定性研究经历了由简单到复杂、由解析方法到数值方法、由二维桥梁颤振分析到三维桥梁颤振分析以及由多模态参与颤振到全模态参与颤振的发展过程。
参考文献
[1]小西一郎编.张健峰译.钢桥(第十分册和第十一分册).北京:中国铁道出版社,1984
[2」李国豪.桥梁结构稳定与振动.北京:中国铁道出版社,1992
[3] E Simiu and R.H.Scanlan,wind Effects on Structures,3rd
Ed., John wiley& Sons,New YOrk,1996
[4] R.H.Scanlan and R.Rosenbaum,Aircraft Vibrotion
and Flutter,Macmillan,1951;Dover,1968
[5] Y.C.Fung,An Introduction to the Theory of Aeroelasticity,John
Wiley& Sons,1955;Dover,1969
[6] T.Theodorsen,General Theory of Aerodynamic Instability
and the Mechanism of Fluter,NACA Report No.496,U.S,National
Advisory Committee for Aeronautics,Langley,VA,1935
[7] F.Blech,Dynamic instability of truss-stiffened
suspension bridges under wind action,Transactions
of ASCE,114,1177-1222,1949
[8] K.Kloppel and F.Thiele,Modelleversucke i Wind
kanal zur benessung von burcken gegen die gehfar widerregtar
Schwingungen(in German).Der Stahlbau,Heft,12,Berlin,1967
[9] ECCS,Recommendations for calculating the effects
of wind on Constructions,2nd ed.,ECCS Technical Committee
12,Brussels,Belgium,1987
[10] Van der Put,Rigidity of structures against aerodynamic
forces,International Association of Bridge and structural
Engineering,1976
[l1] R.H.Scanlan and A Sabzevari,Suspension bridge
flutter revisited,Preprint No.468.ASCE National Meeting
on Structural Engineering, Seattle,May 1967
[12] H.Forshing, Aeroelastic stability invesigations
on prismatic beams, Proc. SymP. on wind effects on
buildings and structures ,Lough borough,1958
[13] N. Ukeguchi, H. Sakata and H. Nishitani, An investigation
Of aeroelastic instability of suspension bridges,
Proc. Int. symp. on Suspension Bridges, Lisbon, 273
~ 284, 1966
[14] H. Tanaka, Vibrations on bluff-- sectional structures
under wind action, Proc. 3rd Int. Conf. On wind effects
on buildings and structures, Tokyo, 889 ~ 910, 1971
[15] Y. Otsuki, K. Washizu, H. Tomizawa and A. Okya,
A note on the aeroelastic instability of a prismatic
bar with square section, J. Sound and Vibration, 34(2),
233 -- 248, 1974
[16] M. Matsumoto, On flutter of bluff-- bodies, Proc.
80th Birthday SymP. in Honor of Prof. R. H. Scanlan,
The John Hopkins University, 285 ~ 294, 1994
[17] J. P. C, King, A. G. Davenport and G. L. Larose,
A study of wind effects for the storebaelt bridge
tender design, Denmark, BLWT -- SS31-1991, the University
of Western Ontario, December 1991
[18] R. H. Scanlan and J.J. Tomko, Airfoil and bridge
deck flutter derivatives, J. Engrg. Mech. Div., ASCE,
97(EM6), 1717 ~ 1737, 1971
[19] D. R. Huston, Flutter derivatives from 14 generic
deck sections, Proc. ASCE Structure congress, Orlands,
281 -- 292, 1987
[20] P. P. Sarkar, N. P. Jones and R. H. Scanlan,
A comparative study of the aeroelastic behavior of
three flexible bridges and a thin airfoil, Proc. 7th
US National Wind Engrg. Conf. UCLA, 595 --604, 1993
[21] R. H. Scanlan, J. G. Beliveau and K. S. Budlong,
Indicial aerodynamic functions for bridge decks, J.
Engrg. Mech. Div., ASCE, 100(EM4),657 ~ 672. 1974
[22] N. P. Jones, A. Jain and R. H. Scanlan, Multi
-- mode aerodynamic analysis of long -- span bridges,
Proc. Strcut. Congress, ASCE, Atlanta, Geogia, 1994
[23] A. Jain, N. P. Jones and R. H. Scanlan, Coupled
flutter and buffeting analysis of long-- span bridges,
J. Struct. Engrg., ASCE, 122(7), 716 ~725, 1996
[24] T. Theodoraen and I.e. Garrick, Mechanism of
flutter: a theoretical and expermental investigation
of the flutter problem, NACA TR 685, 1940
[25] A Selberg, Aerodynamic effects on suspension
bridges, Proc. Int. Symp. on Wind Effects on Buildings
and Structures, Teddington, Vol. 2, 462 ~ 486, 1963
[26] A. G. Frandsen, Wind stability of suspension
bridges--Application of the theory of thin airfoils,
Int. Symp. on SuSpension Bridges, Laboratorio Nacional
de Engenharia Civil, Lisbon, 609 -- 627, 1996
[27] C. G. Bucher and Y. K. Lin, Stochastic stability
of bridges considering coupled modes, J. Engrg. Mech.
Div., ASCE, 114(EM12), 2055 ~ 2071, 1988; 115(EM2),
384 ~ 400, 1989
[28] T. Miyata, H. Yamada, V. Boonyapingo and J. C.
Santos, Analytical investigation on the response of
a very long suspension bridge under gusty wind, proc.
9th ICWE, New Delhi, Vol. 2, 1006 -- 1017, 1995
[29] I. Kovacs, H. S. Svensson and E. Jordet, Analytical
aerodynamic investigation of the cable-- stayed Helgeland
Bridge, J. Struct. Engrg., ASCE, 118(STl), 147 ~ 168,
1992
[30] G. Dana, F. Chen, A. ~, A salina and J. Brownjohn,
Suspension bridge parameter identification in full
scale tests, JWELA 41, 165 ~ 176, 1992
[31] 谢霁明,项海帆。桥梁三维颤振的状态空间法。同济大学学报, 1985年第3期
[32] Y. K. Lin and Q. C. Li, New Stochastic theory
for bridge stability in turbulent flow, J. Engrg.
Mech. Div., ASCE, 119(l), 113 ~ 127, 1993
[33] V. Boonyapingyo, H. Yamada and T. Miyata, Wind
-- induced nonlinear lateral -- torsional bucketing
of cable - stayed bridges, J. Struct. Engrg., ASCE,
120(2), 486 ~ 506, 1994
[34] Y. Fujino, K. Wilde, J. Masubawa and B. Bhartio,
Rational function approximation of aerodynarmic forces
on bridge deck and its application to active control
of flutter, Proc. 9th Int. Conf. on Wind Engrg., New
Delhi, India, Vol. 2, 994 ~ l005,1995
[35] T. Miyata and H. Yamada, Coupled flutter estimate
of a suspension bridge, JWEIA, 33(l&2), 341 --
348, 1990
[36] T. J. A. Agar, Aerodynamic flutter analysis of
suspension bridges by a model technique, Journal of
Engineeing Structures, 11, 75 ~ 82, 1989
[37] T. J. A. Agar, Dynamic instability of suspension,
Computers & Structures, 41(6), 1321 -- 1328, 1991
[38] 陈振清. 桥梁颤振临界风速值上下限预测与多模态参与效应。结构风工程研究的新进展及应用. 同济大学出版社,
1993年
[39] Z. Q. Chen, The three dimensional analysis of
behavior investigation on the critical flutter state
of bridges, Proc. of Int. Symp. on Cable -- stayed
Bridges, Shanghai, China, 302 -- 307, 1994
[40] A. Namini, P. Albrecht and H. Bosch, Finite eletment
-- based flutter analysis of cable -- suspended bridges,
J. Struct. Engrg., ASCE, 118*6), 1509 ~ 1526, 1992
[41] Y. K. Lin and J. N. Yang, Multi -- mode bridge
response to wind excitation, J. Engrg. Mech. Div.,
ASCE, 109(2), 586 ~ 603, 1983
[42] N. P. Jones and R. H. Scanlan, Issues in the
multi -- mode aendynarnic edysis of cable-- stayed
bridges, InfraStrUcture ,91' International, 1991
[43] H. Tanaka, N. Yarnalnere and M. Tatsurni, Coupled
mode flutter analysis uSing flutter derivatives, JWEIA.
42, 1279 ~ 1290, 1992
[44] A. Jain, N. P. Jones and R. H. Scanlan, Coupled
flutter and buffeting analysis of long-- span bridges,
J. Struct. Engrg., ASCE, 122(7), 716 ~ 725, 1996
[45] Y. J. Ge, Probability -- based assessment and
full -- mode flutter analysis of cable -- supported
bridges against aerodynamic forces, Post -- Doctoral
Research Report, University of Ottawa, 1999
[46] Y. J. Ge and H. Tanaka, Aerodynamic flutter analysis
of cable -- supported bridgeS by multi -- mode and
full -- mode approaches, Accepted as a paper to be
published on the Journal of Wind Engineering and industrial
Aerodynamics



