关键词 斜拉桥 抖振 最大双悬臂 背景响应 振型假设
大跨斜拉桥在外部风荷载的作用下,结构上的抖振响应是不容忽视的。一般来说,由于素流成分和运动分量之间的相互作用,各类风致振动之间的相互干扰现象,以及各运动分量的气动耦合和各阶振型之间的耦会等因素,精确计算抖振响应是较为困难的。但大量的风洞试验和理论计算表明,影响抖振振幅的主要是结构前几个振型的贡献,尤其是基阶振型的贡献。因此在对结构抖振响应进行初步分析时,可只取第一阶振型来计算,从而对抖振响应作出快速估计。
在斜拉桥的施工阶段,抖振响应也应予以重视,因为施工中过大的抖振振幅将不利于桥上施工人员和施工机械的安全。在斜拉桥的桥塔建成后,主梁往往采用悬臂拼装法施工。在主梁尚未在跨中合龙前,由于斜拉索、边跨辅助墩以及施工临时墩等结构因素的影响,经常会出现风振不利状态,加施工最大双悬臂状态和最大单悬臂状态等,这种现象在大跨桥梁的风洞试验中也得到了证实,因此不能忽视斜拉桥施工阶段的风振响应。考虑到施工周期的影响,可以在风速取较低保证率的前提下分析斜拉桥施工阶段的抖振。本文将重点讨论斜拉桥施工最大双悬臂状态时的抖振响应问题。
一、基本假定
为便于分析,在下面的公式推导及计算中,采用了如下基本假定:①桥梁结构周围的地形近似水平,且在足够大的范围内,地表粗糙度没有大的变化;②结构是线弹性的,可以采用位移叠加原理心结构对风荷载的抖振响应主要是第一阶振型的贡献,二阶或更高阶振型的影响可忽略不计。对于本文所讨论的双悬臂状态,可近似将第一阶振型取为一次比例函数的形式,即φ(X)=X/L;④各振动模态间不存在气动耦合;⑤风速互谱的作用可以忽略不计,这样处理给抖振力谱带来的误差仅在5%~7%之间[1]。
二、抖振位移响应的简化计算方法
1.基本理论
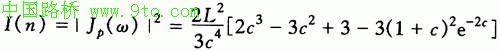
依据随机振动理论,抖振位移响应的根方差与功率谱密度函数之间存在着下面的关系:
以结构水平侧向抖振为例,其抖振位移响应的根方差为:
2.公式推导
由联合接受函数的表达可以看出其大小主要取决于振型函数的形式。由前面的基本假定,在下面的分析中,均假设跨度为2L(桥塔到两个悬臂端的长度均假定为L)的桥梁结构的第一阶侧向弯曲振型函数(即一阶侧摆)为φ1(x)=x/L。则第一阶振型的广义质量为mp=2/3m(x)L,其中,m(x)为主梁跨向单位长度质量,在本文中均假定质量沿跨长均匀分布,即有m(x)= m0。
其中, c=λnL/U,λ为反映风谱空间相关性的系数,一般偏保守地取为7。
将各项适当合并后,得到侧向抖振响应根方差的表达:
其中,

下面采用曲线拟会的方法对它进行近似求解。
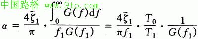
上式中,右端第一项即为背景响应分量,第二项为共振响应分量。由此可以得到背景响应与共振响应之间的比值为
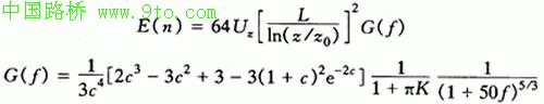
将风速谱、联合接受函数以及气动导纳函数(取为Sears函数)代人E(n)的表达式中,有
其中,f=nz/U为莫宁坐标; c=λnL/U=λ(L/z)f,K=Bω/U=2π(B/z)f。
若令f1=n1z/U,则有
其中,T0,T1是对G(f)进行指数曲线拟会求解积分值后的参数(见图1,此处,L/Z=10,B/Z=0.5)。一般有
虽然实际曲线在低频段与拟会曲线差异较大,但由于在拟合时以曲线和两个坐标轴间包围的面积作为控制参数,因此,积分值的精度得到很好保证。经研究,两者的误差在1%以内。参数、可按下面的原则取值,即T0≈max[G(f)」,这样将使拟会的误差尽可能地减小。
参数T0,T1一般可由附表 1~2,对具体桥梁结构的参数L/Z,B/Z,通过线性内插得到。
经整理,最后可得侧向抖振响应根方差的最大值(振型函数值为1处,即悬臂端)为
3.竖向及扭转抖振位移响应的计算
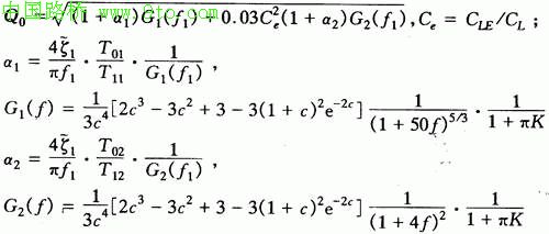
这两种振动形式的处理与上面所述的侧向运动有所不同,主要体现在抖振力谱的表达形式上。竖向和扭转抖振力谱分别为
式(12)、(13)均是两项和的形式,因此可以对各项单独考虑,而后再组合在一起。此处略去具体的处理过程,仅给出具体结果。竖向抖振响应根方差的最大值为
TO1,T11,T02,T12为拟合参数,其中,T01,T11的选取与上节T0,T1的选取完全相同,
具体可参见附表1、附表2;参数T01,T12的选取则参见附表3、附表4。
同理可得扭转抖振响应根方差最大值的简化表达为:
4.结构背景响应分析
在上面的一系列抖振响应表达式中,均涉及到参数α。它定义为结构背景响应部分与共振响应部分的比值(该处所谓的响应是广义的,并不是具体的抖振响应数值)。一般来说,背景响应在一定的条件下,有可能超过共振响应从而占据主导地位;因此,背景响应部分一般不容忽略。
若仅考虑共振响应,则各振型的抖振响应根方差可表达为
根据参数α的定义,可以计算出背景响应在结构总体响应中所占的比例。令背景响应比例因子为β,则有
分别代入三个方向的抖振响应根方差,就可以得到产基于不同振型的表达:
关于背景响应比例因子的讨论,可参见下节的算例分析。
三、算例分析
1.基本资料
(l)南京长江二桥
该桥位于长江在南京河段的八卦洲汉道处。其中南汉主航道桥设计方案为带辅助墩的双塔斜索面铜箱梁斜拉桥,主跨628m。桥塔为混凝土结构,由双柱组成倒Y形,主梁为带风嘴的闭口钢箱梁。
(2)福州闽江大桥
该桥位于福州市马尾区青州路及长乐县筹东村之间,是福州长乐国际机场连接福州市区的专用通道上跨越闽江的交通工程。新方案为主跨 605m的 A型双塔斜索面、 Ⅰ字型边主梁结合梁斜拉桥。
(3)荆沙长江大桥(北汉)
该桥位于湖北省荆沙市,北起荆沙市太岳路与南湖路交叉口,与南岸公安县陈沙公路相接。其中北汉通航孔桥为主跨500m的H型双塔双索面预应力混凝土斜拉桥,主梁采用分离式边主梁断面。
三座大桥用于抖振响应计算的基本数据一并列于表1中。
2.计算结果及分析
表2给出了用本文所述方法对三座大桥施工最大双悬臂状态的悬臂端抖振位移响应根方差和背景响应比例因子的计算结果,并与数值计算的结果进行了比较。
计算结果分析:
①误差分析。在不考虑背景响应时,采用本文简化方法的计算结果与文献中给出的结果较为接近,误差基本上在20%以内,在大跨桥梁抗风设计的初步阶段,可用来对结构的抖振响应做出快速估计。
②背景响应的影响。结构的背景响应在一定条件下会很显著,甚至超越共振响应从而占据主导地位。从表中还可以看出,竖向抖振响应的背景分量一般均较小,这主要是由于结构一阶竖弯频率都较低的原因。一般地,结构的跨度、宽度、阻尼比、频率以及风速、地表粗糙程度等都会对背景响应产生一定的影响。
四、结论
① 斜拉桥施工最大双悬臂状态抖振响应计算的基本公式汇总如下:
②结构的背景响应在整个抖振响应中所占的比例一般不容忽略。通过分析,给出了基于不同振型的背景响应比例因子的具体表达:
最后,通过算例较好地验证了本文简化方法的适用性。
参考文献
【1】陈伟,大跨桥梁抖振反应谱研究。同济大学博士学位论文,1993.3
【2】桥梁抖振反应港及等效风荷载研究,同济大学土木工程防灾国家重点实验室,1999.9
【3】南京长江二桥斜拉桥抗风性能试验研究(二),同济大学土木工程防灾国家重点实验室,1999.5
【4】南京长江二桥斜拉桥抗风性能试验研究(四),同济大学土木工程防灾国家重点实验室,1999.11
【5】荆沙长江公路大桥主桥抗风研究(一),同济大学土木工程防灾国家实验室,1998.l
【6】福州市青州路闽江大桥结合梁斜拉桥抗凤性能试验研究(一),同济大学土木工程防灾国家重点实验室,1998.3



