因子与振型反应的峰值因子的比值因计算的响应而不同,在0.8~1.6范围内变化。在结构的地震响应的计算中,考虑与不考虑峰值因子的作用对结算结果可以产生15%以上的差别。
关键词 峰值因子 组合方法 地震响应
一、反应谱组合方法
反应谱方法是目前结构地震分析,尤其是抗震设计的一种重要方法。反应谱组合方案是反应谱方法中的关键问题之一。Kiureghian和Wilson等人[1~4]将地震地面运动视为一个宽带平稳Gauss过程,基干线性结构的随机振动理论导出了比例阻尼结构体系振型组合的CQC(Complete Quadratic Combination)反应谱组合方法。该方法较好地考虑了结构自由振动频率成丛出现时各振型反应间的高相关性,有较好的理论基础,已经被各国结构抗震设计规范所广泛采用。CQC方法的导出过程如下。
假定地震动过程为一平稳随机过程,则在其激励下线性结构体系任意响应量Zk(t)的最大值的平均值可以写为
式中,Pk为结构总响应的峰值因子,Pi为第i振型反应的峰值因子,pi为第j振型反应的峰值因子。Zk,max为响应量、zk(t)的最大值的平均值,zi,max和zj,max分别为第(振型和第j振型反应的最大值的平均值,可以使用范围反应谱坐标得到,即认为规范反应谱为均值反应谱。ρij为振型相关系数,gki,gkj,di和dj是与结构参数有关的量。
若假定
则上式可以写为
式(3)即为目标广泛使用的 CQC反应谱组合方法。 CQC组合方法推导过程中引入了式(2)的假定。这条假定是为了在式(1)中将峰值因子的相关项去掉,否则反应谱计算就涉及到地震动的功率谱密度函数和结构的随机响应一次统计量的计算,难以被工程师接受。这样一条假定的合理性源自 Kiureghian[1]的一项简单的研究结果,但未见更详细的论证。本文将对这一假定进行细致的讨论。
二、峰值因子的计算方法
最大值的平均值产与均方根差σ之间通过峰值因子p相联系,即
μ=pσ (4)
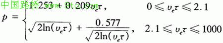
本文的分析中,峰值因子按下式计算:
式中
λ0,λ1,λ2分别为响应的零阶、一阶和二阶谱矩。
三、结构的计算模型和动力特性
1.结构计算模型
本文分析的结构是一座双塔三跨的斜拉桥,其构造和基本尺寸见图1。桥全长1238m,跨径布置为 8.5+ 246.5+ 628+ 246.5+ 58.5(m)。主梁为钢箱梁结构,桥面宽 33.6m,梁高3.5m;桥塔为混凝土结构,倒钻石形,塔高195.41m;每一个索面由20对索组成,桥面索距外跨为12m,其余为15m。全桥用三维梁单元进行有限元离散,计算图式见图2。
用x表示桥轴方向,y为竖向,Z为根桥向,则桥梁计算模型中主要约束与连接条件列表于表1中。其中"0"表示自由,"l"表示构件问的该自由度上互相约束。
2.结构动力特性
所分析的桥梁结构的自由振动特性列于表2。可见,此桥的振动特性十分复杂,分别以塔、主梁、辅助墩和过渡墩为主的自由振动频率之间相差很大。如一阶纵飘频率仅为0.47rad/s,而辅助墩的首阶纵向弯曲振型频率则为18.87rad/s。
四、计算结果
由于结构体系振动特性复杂,不同结构部分由频率相差很大的振型反应控制,为保证精度,取长300阶振型进行叠加计算结构的响应方差。计算中采用的地震动功率谱密度函数见图2。计算结果示于表3和图3、图4中。
由表3可知,结构响应的峰值因子因响应量不同而有较大差别,从2.07变化到3.10。对于所有响应量指定相同的峰值因子是不合理的。由图3可知,振型响应的峰值因子随振型频率显著变化,由于给定激励下特定响应量zk(t)的峰值因子是定值,因此峰值因子之比pk/Pi≈l的结论是不存在的,详见图4。
表单是对各反应量贡献最大的振型的频率,将表2与图4仔细加以对照就可以发现:除横桥向主墩弯矩外,其他反应的pk/pi曲线在对反应量贡献最大振型频率ωmax处总是非常接近1,而这些振型对总反应一般又是起控制作用(贡献最大振型的贡献占总响应的84%以上),这就是为什么对这些反应用1近似代替各振型的峰值因子之比时,仍能保持较高的精度,见表5。而对于根桥向主墩弯矩反应,对反应量贡献最大振型的贡献占总反应的72%,不起绝对控制作用,pk/pi曲线在ωmax处又偏离1较多,所以用1近似代替峰值因子之比时,组合结果出现了较大的 (16%左右)误差。图5更清楚地说明了忽略峰值因子比值带来的误差。
五、结论
本文以斜拉桥为例,研究了CQC反应谱组合方法导出过程中关于峰值因子比值假定所带来的误差。得到的结论是:响应量的峰值因子与各振型响应的峰值因子的比值近似等于1的结论是不存在的。对于某一振型超控制作用的响应量,该振型的峰值因子的比值近似等于1,而其他振型的峰值因子的比值可能偏离1很远。但由于其他振型对该响应量的贡献很小,将峰值因子的比值统一取为1对响应量的计算结果影响很小,这才是CQC方法可以使用响应量的峰值因子与各振型响应的峰值因子的比值近似等于1假定,并能保持精度的真正原因。但当响应量受多个振型响应控制时,总响应的峰值因子与这几个控制振型响应的峰值因子的比值不可能同时近似等于1,若仍然将它们统一取为1,则必然导致较大的误差。这个误差是以几方法导出时困基本假定产生的系统误差,不会随计算振型数的增加而消失。
参考文献
[l] A. Der Kiureghian, Structural response to stationary excitation, J. of Engineering Mechanics Division, ASCE, 106,1980, 1195 ~ 1213
[2] E. L. Wilson, A. Der Kiureghian, and Bayo, A replacement for the SRSS method in seismic analysis, Earthquake Engineering & Structural Dynamics, 9, 1981, 187 ~ 192
[3] A response spectrum method for random vibration analysis of MDF systems, Earthquake Engineering & Structural Dynamics, 9, 1981, 419 ~435
[4] A. Der Kiurghian, and A. Neuenhofer, Response spectrum method for multi-support seismic excitation, Earthquake Engineering & Structural Dynamics, 21, 1992, 461 ~ 470



