【摘要】本文介绍了非线性振型叠加法的研究成果,并建议采用指定阻尼比和振型叠加法相结合的方法处理桥梁结构的阻尼以及桥梁局部非线性地震反应分析的问题。
关键词 局部非线性 阻尼 振型叠加法
一、引言
近几十年来,为促进经济的持续发展,我国政府投入巨资修建交通基础设施,桥梁建设突飞猛进,相继建成了一批大跨斜拉桥、悬索桥等重要工程。同时,据专家预测,我国已进入一个新的地震活跃期。本世纪几次惨重的地震灾害给了我们深刻的教训:对这些重大建设工程,必须进行结构的地震反应分析,以评估结构的地震作用下的安全程度。
目前,地震反应分析主要有反应谱分析方法和动态时程分析方法两种方法,对于大跨、复杂的桥梁一般以动态时程分析方法为主。动态时程分析方法按照不同的解方程思路分为振型叠加法和直接积分法两种。无论采用哪种计算方法,都涉及到三个物理参数的确定,即结构的质量测度和阻尼。质量和刚度已经有了很成熟的计算方法,结果也较稳定、可靠,但阻尼的计算则是一个比较复杂的迄今为止未得到很好解决的问题。桥梁结构中不同材料的构件具有不同的阻尼,大量减隔震装置的使用再增添了阻尼的多样化和复杂性。由于阻尼参数确定的不同,常导致结构反应的计算结果有显著的差异,有时甚至是几倍甚至是数量级上的差别。因此如何处理阻尼问题是正确求解大跨、复杂桥梁结构地震反应的关键问题之一。
根据已发生历次地震的桥梁震害记录,我们发现震害区斜拉桥、悬索桥等大跨桥梁基本上未出现破坏,笔者所知的只有台湾"9.21大地震"震中区域一未完工的独塔斜拉桥主塔塔柱与横梁交界处出现破裂,但这次地震很特殊,震源非常浅,加速度达到蛇,像这样大的地震如何设防目前还处在研究阶段。此外,根据同济大学土木防灾重点实验室所做的几十座国内大跨桥的抗震分析,发现大跨斜拉桥、悬索桥的抗震薄弱环节是边墩、辅助墩等部位,这些部位在地震作用下有可能进入弹塑性阶段,而主塔、主梁等部位基本上处于弹性阶段。因此,我们把这种在地震荷载作用下,主体部位基本处在弹性阶段,局部进入弹塑性阶段的情况称之为局部非线性的地震反应。
对于非线性问题的时程计算,我们一般不采用振型叠加法。这是因为当结构处在非线性阶段时,其刚度矩阵随时间不断变化,这就需要我们不断地计算刚度矩阵和求特征向量,尤其是求特征向量将会耗去大量的机时,极不经济。然而,振型叠加法也有其优点,它可以将运动方程化为振型坐标系中一组单自由度运动方程来求解,并且不必列出结构所有自由度的卑自由度方程,而只列出对结构反应起主要作用的前若干阶单自由度方程进行求解,这种把结构总反应看作是若干个振型反应的叠加有助于人们对地震反应实质的理解。对于局部非线性问题,结构刚度矩阵只有某些位置的元素发生变化,而大部分位置的元素并未发生变化。因此如果我们能够通过某种计算技巧,利用振型叠加法求结构的时程反应,并避免刚度矩阵的重新求特征值,从而解出非线性运动方程,此时振型叠加法就不失为一种比较好的计算方法。
本文试图在研究阻尼选取问题的基础上,介绍非线性振型叠加法一些已有的研究成果,希望对抗震研究者求解桥梁局部非线性问题有所帮助。
二、阻尼问题
1.阻尼模型
结构阻尼是对振动结构所耗散的能量的测量,通常用振动一次的能量耗散率来表示结构阻尼的强弱。近几十年来,人们提出了多种阻尼理论假设,在众多的阻尼理论假设中,用得较多的是两种线性阻尼理论:粘滞阻尼理论和复阻尼理论(滞变阻尼理论)。
复阻尼理论认为结构具有复刚度,在考虑阻尼时在弹性模量或刚度系数项前乘以复常数 即可,v为复阻尼系数。复阻尼理论对于一般的结构动力响应来说,计算过程非常复杂,因此,在动力响应分析中,复阻尼理论应用不多,本文限于篇幅,也就不再展开了。
粘滞阻尼理论假定阻尼力与运动速度成正比,通常是用不同频率的阻尼比ζ来表征系统的阻尼:
粘滞阻尼理论最显著的特点在于其阻尼力是直接根据与相对速度成正比的关系给出的,不论是简谐振动或是非简谐振动,都可直接写出系统的运动方程,而且均为线性微分方程,给理论分析带来了很大的方便。
在多自由度系统中采用等效粘滞模态阻尼,阻尼力向量的表达式为
若[C」可以通过模态向量正交化为对角矩阵时,则称为正交阻尼或比例阻尼。反之,则称之为非正交阻尼。正交阻尼原则上适用于阻尼特性分布比较均匀的工程结构,但由于其使用方便,分析人员对大部分桥梁都倾向于使用正交阻尼,非正交阻尼因为计算较为麻烦用得较少。
Rayleigh阻尼模型是广泛采用的一种正交阻尼模型,其数学表达式如下:
C=a0M+a1K (2)
式中, a0和a1称为Rayleigh阻尼常数。
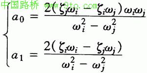
在Rayleigh阻尼模型下,各阶阻尼比可表示为
式中ζi称为第i阶振型的模态阻尼比,因此若已知任意两阶振型的阻尼比ζi和ζj,则可定出阻尼常数
确定了a0和al之后,即可确定出各阶振型的模态阻尼比,并确定阻尼矩阵。
2.实际抗震分析中由于阻尼选取不同所产生的问题
目前,桥梁地震反应分析一般以直接积分的时程分析方法为主。其阻尼模型取Rayleigh阻尼模型,并以主塔或主梁的两个较低阶振型频率ωi和ωj对应的阻尼比作为ζi和ζj,接式(3)和式(4)
求出其余各阶频率的阻尼比,并求出阻尼矩阵代人动力方程,用直接积分的方法求解动力方程。这样处理阻尼虽然非常简单,但也产生了以下两个不可忽视的问题:
(1)如前所述,Rayleigh阻尼作为一种正交阻尼,适用于阻尼特性分布非常均匀的工程结构。但是大跨桥梁一般来说都不能算作非常均匀的结构。例如,为了提高桥梁的跨越能力,主梁一般采用钢箱梁或钢混叠合梁,而主塔和边墩则采用钢筋混凝土材料,两者的阻尼特性相差比较大。即使主梁材料特性与主塔差不多,大跨桥梁由于抗风和抗震的要求,经常会在桥梁结构的某些部位加有人工阻尼装置,比如桥墩上安放高阻尼的抗震支座、桥塔上安放控制振动的装置TMD等,这都会产生摩擦阻尼或集中阻尼从而造成阻尼特性的不均匀分布。这样的阻尼均匀性前提得不到满足的情况下,仍按照
Rayleigh阻尼模型去计算各阶振型对应的阻尼比势必会造成除ωi和ωj两阶之外其他各阶振型阻尼比与真实值有或多或少的差别。
(2)根据同济大学土木防灾国家重点实验室对国内几十座大跨桥梁进行抗震分析后总结的经验,边墩。辅助墩等部位是大跨桥梁抗震设施的重点。但是采用Rayleigh阻尼模型时,用于计算其他各阶振型阻尼比的ωi和ωj一般取的是较低阶的振型,而边墩辅助墩的振动一般都发生在高阶振型。根据Rayleigh阻尼模型图,可以看出离ωi和ωj越远的振型,其阻尼比就越不准,而且随着图上阻尼比按频率增加的速度越来越快,边墩部分振动频率对应的阻尼比比实际值往往偏大,从这一点讲会导致边墩部分反应的计算结果偏于不安全。
一些桥梁抗震研究人员已经注意到了以上两个问题,他们采取的措施是根据分析的部位不断变换所选择的ωi和ωj,比如计算桥塔的纵向地震反应时就选择对桥塔的纵向反应起主要作用的两阶频率作为ωi和ωj,来计算其它各阶阻尼比,计算其它地震反应时也依此类推。这样就需要分析人员不断的重复选择。和约和进行时程计算,十分繁琐。
3.解决方法
由以上论述,我们已经了解到阻尼是一个非常复杂的问题,仅仅依靠Rayleigh阻尼模型,会对大跨桥梁尤其是边墩辅助墩等部位的地震反应分析出现不应有的误差。因此,我们尝试寻找一种既不过分繁琐又比较准确的方法。
在前面的论述中,我们发现阻尼比是反应阻尼的一个方便而有效的量,它把阻尼特性和振型频率联系起来,使得动力方程分析起来更为简单,而且阻尼比可以通过桥梁实测测出。
如果我们直接指定对桥塔。主梁、边墩等重要部位反应起主要作用的一些振型频率的阻尼比,而对其余各阶振型频率的阻尼比采用线性内插的方法确定,这样做也可以形成阻尼比矩阵。由于我们通过以前的工程实例发现结构各部位的反应来说少数几阶振型的贡献最为显著(这些振型的贡献占到70%~
80%,甚至更多),因此,这样做能够保证计算的正确性,而且并不繁琐,此对,以实测试验数据作为基础,更增加了其准确性。同济大学桥梁系近十几年来,通过为国内几十座大型桥梁进行竣工检测、成桥检测积累了大量的阻尼实测资料,并有研究人员准备把这些阻尼资料整理形成桥梁阻尼数据库。有了这些数据资料为基础,通过指定主要振型频率阻尼比,来计算结构动力反应是行得通的,并且结合下面的振型叠加法,会使计算更加简便。
三、非线性问题的振型叠加法
1.线性问题的振型叠加法
振型叠加法是利用多自由度系统的固有频率和振型的特性,将结构动力响应分解为各个振型分量,对各个振型分量分别求解后叠加得到实际的响应。它假定阻尼满足Rayleigh阻尼模型,利用正交变换将线性动力分析中多自由度体系相互耦合的N个方程
![]()
转换成为N个不耦合的单自由度方程
这些单自由度运动方程可以通过杜哈美积分的数值算法解出。所以,总反应为
其中,[Φ]为 N×N的振型向量矩阵。
如果对结构反应起主要作用的是较低的P阶振型,那我们就可以只计算较低的P阶单自由度方程,根据计算机数值计算的特点并考虑截去的高阶振型的影响后,最后实用的计算式为[2]
或
其中[Kp」--对应于P个特征向量的结构刚度矩阵:
{Fp(t)}--对应于P个特征向量的荷载向量
2.非线性问题的振型叠加法
非线性振型叠加法是我们着重要讨论的问题。在线性问题的振型叠加法中,因为刚度矩阵不随时间变化,所以只需要时程计算的开始进行一次求特征向量的计算,以后就利用求出的这组特征向量通过选代算法求解结构各个时刻的反应。而在非线性问题中,结构的刚度矩阵是随时间不断变化的,这就需要在整个时程分析过程中不断地计算刚度矩阵并求解特征向量。求矩阵的特征向量是非常耗费机时的计算,因而这样运用振型叠加法将会耗费大量的机时,极不经济。但是如果我们能够避开多次求解特征向量,而只在计算的开始求一次,然后利用某种计算技巧,求出各时刻的反应,这样,振型叠加法对求解非线性问题特别是对大跨桥梁地震反应这种刚度矩阵在整个时间过程中只是部分元素发生变化而大部分元素不变的局部非线性问题还是有应用价值的。下面本文以材料非线性问题为例来说明这种分析方法的过程[1]
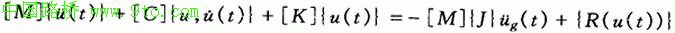
受地震加速度作用的非线性体系的运动方程为
为便于迭代求解,将上式进行转化,得到
其中,[k]为0时刻结构对应的刚度矩阵。{R(u(t))}是当考虑材料非线性时与材料为弹性所产生的恢复力的差。
与线性问题的振型叠加法类似,将相互耦合的N×N动力方程化为在正规坐标系下的N个单自由度方程:
则单自由度运动方程变为
其中
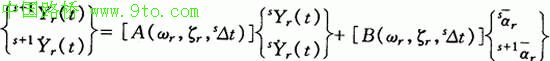
上面的方程根据Nau的研究成果[3],解可写为
其中,[A]和[B]两矩阵的计算方法可从文献「3」查得。
我们只需求解对结构反应起主要影响的较低的P阶单自由度方程,在考虑截去的高阶振型的影响后,结构总的反应可表示为
其中![]()
Fr(t,u)为广义力:![]()
式(20)~(22)即为结构t时刻总反应的计算式,该式中{R}与待求量结构变形u(t)有关,
S状态代表t时刻, s+l状态代表 t十Δt时刻。因此,求解过程需进行选代。具体迭代算法如下面所示。
3.计算步骤
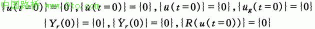
(l)设置初始条件:
(5)根据结构位移向量计算该时刻结构单元应力。
(7)重复以上步骤,计算下一个时刻的位移向量{u}(返回第(4)步)。
根据文献[1]的研究结果,使用非线性叠加法的程序与DRAIN2d程序的直接积分法分析同样的平面框架的地震反应,在误差为6%的情况下,后者所花时间平均为前者的两倍。
四、结语
本文介绍了阻尼和非线性振型叠加法两个方面,目的是针对大跨桥梁局部非线性问题探索一种简单前效名用的地震反应计算方法。振型叠加法用于结构局部非线性地震反应计算还不很成熟,还有一些具体问题,比如阻尼数据编辑整理、迭代方法的稳定性研究、编制应的分析程序并与直接积分法程序比较计算效果等有待于进一步地探索和解决。
参考文献
[1] Melod Michel hanna, "An Efficient Mode Superposition
method for the Numerical Dynamic Analysis of Bilinear
Systems",Dissertation of Ph. D, University of
California, Irvine, 1989
[2] Wildson, E, L., and Leger, P., "Modal Summation
methods for Structural Dynamic computations,"
Earthquake Engineering and Structral Dynamics, Vol.
16, 23 ~ 27, 1988
[3] Nau, J. M., "Computation of Inelastic Response
Spectra," J. Of Engineering mechanics, ASCE,
Vol.109, No. l, 279~ 288, Feb., 1983



