【摘要】本文在前人研究的基础上提出了统一的颤振和抖振分析方法。该方法以非线性有限元的直接积分法为基础,在研究中具体解决了随机风速场的模拟、耦合自激力的时域计算和统一的颤抖振时程分析流程等关键问题,考虑了结构的几何非线性和有效攻角效应。本文的研究纠正了过去时程分析方法不能同时处理颤振和抖振的理论缺陷。本文还通过所编制的软件的计算实例验证了方法的正确性和可行性。
关键词 桥梁 非线性 颤振 抖振 时程分析
一、前言
时程分析方法是桥梁风工程中的主要方法之一。过去的非线性时域分析方法都局限于抖振。其基本流程是首先模拟桥梁风场的脉动风速时程,根据脉动风速计算抖振力和自激力,然后将抖振力和自激力的计算编入非线性有限元程序中,最后再运用这样的程序进行计算。在这个流程中,非线性有限元程序是比较成熟的,但在脉动风速模拟和自激力的计算方面都还存在着对分析有重要影响的缺陷。由于时域中耦合自激力的计算比较困难,过去的时程分析中都没有考虑耦合的自激力,因此,这样的分析方法不能用来分析耦合颤振【2】。
本文在此对时程分析方法进行了改进。首先是改进了模拟随机风场的谐波合成法,提高了模拟的效率。然后本文实现了时域中耦合自激力的计算,从而在时域中实现了比较完善的风荷载计算。利用这样的风荷载,本文在时域中统一了抖振和颤振的分析方法。在时域中实现了耦合颤抖振和颤振分析。根据这一方法,本文运用可视化编程技术,编制了大跨度桥梁非线性颤振和抖振时程分析的有限元程序Nbuffet,并对程序进行了验证。最后本文对江阴长江大桥进行了非线性颤振和抖振分析,得出了一些有益的结论。
二、脉动风送的模拟
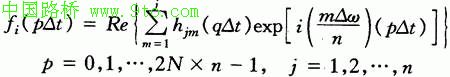
要进行抖振时程分析就必须首先模拟作用在桥梁上的脉动风速时程。本文采用经作者改进的谐波合成系列中的一种方法,大大提高了模拟效率,为在后文进行颤振时程分析中不断变换风速计算节约了时间。作用在大跨度桥梁上脉动风速可视为一维多变量随机过程。众所周知,用谐波合成法模拟一维多变量随机过程需要计算互谱密度矩阵的Cholesky分解。该分解通常采用迭代法求借,计算最大,常常影响模拟的规模的效率。本文作者利用桥梁上各点的互谱密度近似相等的特点,导出了显式的分解公式,并且采用了FFT技术,从而极大地提高了模拟效率。经过改进后的谐波合成法如下[3]:
其中,q是p/(2N)的余数,q=0,l,2,…,2n-l. hjm(qΔt)由下式给出:
式(2)就是一个 Fourier变换,用 FFT算法计算。Gjm(ω)则是作者改进的显式 Cholesky分解,由下式给出
其中
三、风荷载计算
引起桥梁风振的荷载可以分为静力风荷载、抖振力和自激力。其中静力荷载按常规静力三分力系数计算,抖振力常按Scanlan的准定常理论计算。
自激力的计算一直是研究得较多的课题之一。传统频域抖振和颤振分析方法中的自激力都采用Scanlan提出的气动导数的线性表达式。由于该表达式是频域和时域的混合表达式,不能在时域中求解。为了在时域中顺利计算耦合自激力,Lin提出了一种用单位脉冲响应函数表达的统一自激力表达式【4】。本文按
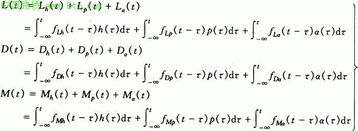
Lin的理论计算耦合自激力。 Lin的理论基于二自由度耦合。然而,三自由度耦合对结构振动的影响最近也引起了一些学者的关注。虽然并非所有的自由度之间都具有耦合特性,但从理论和形式完备的角度出发,本文将Lin的理论从二自由度推广到三自由度,成功地实现了时域内三自由度耦合自激力的计算。本文扩充后的三自由度耦合自激力公式如下:
用脉冲响应函数表达的自激力适合于任意形式的振动,也适用于正余弦振动(颤振)。根据在正余弦振动形式下,脉冲响应函数表达的自激力与气动导数表达的自激力相等价的关系,Lin导出了用脉冲响应函数表达的自激力的具体表达形式。以Mα(t)为例,其最终表达式为[7]
式中,Ck,dk为待定系数,它们与气动导数的关系为(以n=4为例):
对上式进行最小二乘拟合就可以得到待定系数的近似值。其他几个自激力分量Lh(t),Lp(t),La(t),Dh(t),Dp(t),Da(t),Mh(t),Mp(t)的构造形式与式(8)相同,其中的待定系数与相关的气动导我也有类似的对应关系,可以通过最小二乘拟合确定。从式(7)可以看出,本文推广后的自激力表达式需要用到完整的18个气动导数。也就是说,只要从试验或CFD计算得到了桥梁断面的18个气动导数,我们就可以在时域内获得任意运动形式下的自激力近似表达式,并且分别用这些气动导数对结构振动影响进行参数分析。限于气动识别技术的困难,本文的计算中对没有测量值的气动导数暂时置0。随着计算流体力学(CFD)的逐渐成熟,运用CFD技术进行气动识别将会有效地弥补这方面的不足。
四、统一的额报和抖报时域分析方法
在传统的步域分析方法中,抖振和颜振是通过完全不同的方法来分析的。其中,抖振分析用的是基于随机振动理论的响应谱方法,颤振分析用的是与特征值问题有关的半逆解法或复模态解法。风振时程分析的初衷是为了解决非线性情况下的抖振响应计算。但是颤振分析中所需要的计算自激力的公式在抖振时程分析中都要用到,所以从理论上讲,利用计算抖振时程分析的方法同样可以在时域中计算颤振。实际上,抖振和颤振并不是完全独立的。在任何风速之下,桥梁都受到抖振力和自激力的作用。当风速较低时,自激力很小,不起控制作用,桥梁的振动就体现为抖振。当风速增加到一定程度时,自激力逐渐发散,并控制桥梁的运动,桥梁就发生了颤振。因此,只要正确地描述了抖振力和自激力,运用时程分析这一仿真的分析方法,就可以算出一定风速之下桥梁的真实运动状态。如果表现为随机振动,则说明是抖振,我们就可以得到响应时程统计指标。如果是发散振动,就说明桥梁发生了颤振。只要不断进行搜索计算,我们就能在时域中找到桥梁的颤振临界风速。
根据以上设想,本文设计并首次成功地实现了时域中统一的颤振和抖振分析算法,其分析流程见图1。
流程中,耦合自激力的计算是个关键。过去的一些抖振时程分析方法中常只近似考虑非耦合的自激力。而大跨度桥梁的颤振发散大多是受耦合自激力控制的,因此,过去的抖振时程分析方法不能用于计算颤振的原因就在于此。颤振发散的判断依据也是关键之一。考虑到结构在接近颤振临界状态时,振动形式逐渐从随机振动过渡到谐波发散振动,其振幅将逐渐增大,相应振动的阻尼将逐渐减小。因此,本文先通过位移时程曲线观察振幅的变化规律,当结构的振动明显过渡为谐波振动时,则根据计算结构的阻尼系统,当阻尼系统为负时,则认为结构进入颤振临界状态。计算实例表明,这种判断方法与其他方法计算得到的结果一致。
五、非线性颤振和抖振时程分析的程序设计
除了在时域中统一颤振和抖振分析方法以外,本文研究时程分析方法的目的还在于分析不同非线性因素对桥梁颤振和抖振响应的影响。与大跨度桥梁抖振和颤振有关的非线性现象主要有:
(l)几何非线性,包括平均风荷载引起的位移:由于大跨度桥梁相对细长,几何非线性现象不能忽视;
(2)有效攻角效应:由平均风荷载引起的位移使风对桥梁的攻角发生变化,从而使静力三分力系统和气动导数发生变化,因此附加攻角对桥梁的影响不能忽视。
根据以上分析流程并考虑这些非线性因素,借鉴一些通用有限元程序的理论和源代码[5],本文作者编制了大跨度桥梁颤振和抖振分析程序Nbuffet。该程序以
Fortran Power Station(FPS)4.0为平台,采用Fortran90语言编程。作者运用了FPS的Windows编程技术,使Nbuffet成为一个基于Windows95/NT平台具有丰富的交互式功能的实用程序。
由于目前非线性有限元技术相对比较成熟,该部分在理论上不是本文的重点,因此这里不再详述。
六、实例分析
在以上理论的基础上,本文作者编制了相应计算机程序Nbuffet。该程序考虑了结构的几何非线性和气动非线性(有效攻角引起的三分力和气动导数等变化),以便可以考虑这些非线性对结构风振行为的影响。本文作者在程序中采用鱼骨架式模型建立大跨度桥梁模型,采用杆梁的切线刚度矩阵和Newton-Raphson方法并引入平衡迭代来处理结构几何非线性,采用图1所示的流程来反映有效攻角效应。运用所编制的程序,本文分析了江阴长江大桥主桥的非线性颤振和抖振行为。
江阴长江大桥主跨1385m,是我国目前在建的跨度最大的桥梁。丰文运用Nbuffet程序,分析了该桥不同参数下的颤振和抖振响应,并与用其他方法得到的结果进行了比较。结果显示,本文建立的统一的颤振和抖振分析方法在理论上和实践上都是成功的。本文所编制的Nbuffet程序也是实用可靠的。以下分别是运用传统频域分析方法、风洞模型试验和本文的方法分析得出的一些结果对比情况。限于篇幅所限,本文未给出与表中数据对应的曲线图。从结果对比可以看出本文的计算结果与频域分析方法、风洞模型试验的结果基本吻合(表l~表3)。本文的主要目的是建立一套时域内颤振和抖振统一分析的方法和流程。从比较结果来看,这种方法和流程是成功的。
从比较结果中还可以得到以下一些现象:
(1)从表2看,本文竖向响应略小于风洞试验结果,而从表3看,本文的扭转结果又略大于风洞试验结果。考虑到目前的风振试验和分析方法体系都尚未达到比较精确的程度,这些误差可能来源于试验、频域、时域三者之间的模型误差。
(2)从表4看,素流对该桥的颤振临界风速没有影响,即考虑抖振项的参与不影响该桥额振临界风速。
(3)从表5、表6看,只有气动导纳因素对抖振结果影响显著。可见,几何非线性和有效三分力及有效气动导数对悬索桥的影响可能要到更大的跨度才能表现出来。
七、结语
大跨度桥梁在非线性情况下的颤振和抖振分析是目前桥梁风工程研究的热点之一。本文着重提出了时域中统一的颤振和抖振方法,同时解决了脉动风速的高效率模拟、结构几何非线性和气动非线性的处理方法。在此基础上,本文编制了计算程序Nbuffet并用该程序分析了江阴长江大桥非线性颤振和抖振响应。结果表明本文提出的方法及所编制的程序在理论和实践上都是正确的。
在此基础上,我们就可以在时域中增加考虑各种非线性因素对结构进行分析从而寻找结构对这些因素的敏感性;我们也可以根据时程计算来进行非线性的振动控制。而这些研究工作在频域范围内是难以开展的。如果与CFD技术相结合,将可望实现从参数识别到结构宏观计算和控制的全过程分析。从而达到与风洞试验互为补充的目的。
应该说,尽管以上方法和程序是成功的,但是更重要的是要利用这种方法对所关心的桥梁进行各种用过去的方法所不能进行的全过程参数分析,从而得到更具有普遍规律性的结论。因此,大量的实例计算和总结是必要的。
参考文献
[1]希谬,A.,斯坎伦,R.H,刘尚培,项海帆,谢霁明译.风对结构的作用.上海:同济大学出版社,1992
[2]Kovacs,I,et al.,"Analytical aerodynamic investigation
of cable-stayed helgeland bridge."Journal of
Structural Engineering,ASCE,VOl.118,No.1,January,1992
[3]曹映泓.大跨度桥梁随机风场的模拟.土木工程学报,1998,Vol.31(3)
[4」Lin,Y.K,and Li,Q.C,"New stochastic theory
for bridge stability in turbulent flow." Journal
of Engineering Mechanics, ASCE,1993,VOl.119,No.1,Jan,113-127
[5]Bathe,K.J.Finite Element Procedures in Engineering
Analysis,Prentice-Hall,Inc,Englewood Cliffs,New Jersey,07632,1980
[6]公路桥梁抗风设计指南.北京:人民交通出版社,1996
[7」 Cao,Y.H,Xiang,H.F,and Zhou,Y,"Simulation
of stochastic wind velocity field on long-span bridger",Journal
of Engineering Mechanics, ASCE,VOI. 126,No.1,January,2000
P1-6



