【摘要】近几年来,国内外学者对大跨径桥梁的静风稳定性展开了广泛的研究,相继产生了一些分析方法。本文首先对现有的大跨径桥梁静风稳定性分析方法进行了回顾与比较,并就其中的不足进行简要讨论,作为改进提出了一种新方法,采用这些方法对虎门大桥的静风稳定性进行了计算与比较。
关键词 大跨径桥梁 静风稳定性 非线性分析
一、引言
近几年来,我国先后建成了主跨888m的虎门悬索桥和主跨1385m的江阴长江悬索桥以及主跨423m的南浦斜拉桥和602m的杨浦斜拉桥。交通部规划将兴建的沿海高等级公路干线上,还有五座大型跨海工程,它们自北向南依次跨越渤海海峡、长江口、杭州湾、珠江口伶仃洋以及琼州海峡,这些跨海工程都需要建造大跨径桥梁,为大跨径桥梁提出了更高的要求。
但是,随着桥梁跨径的不断增大,势必会带来一些新的问题。风荷载作用下大跨径桥梁的静力稳定问题就是其例。早在1967年日本东京大学Hirai教授就在悬索桥的全桥模型风洞试验中观察到了静力扭转发散的现象,同济大学风洞实验室在对汕头海湾二桥的风洞试验中,也发现了斜拉桥由静风引起的弯扭失稳现象[1,2]。最近,Boonyapinyo,
Miyata、谢旭等学者通过计算也表明了这种现象出现的可能性[1,3]。图1为大跨径桥梁结构静风失稳过程示意图。从图中我们可以看出接线性方法进行大跨径桥梁的静风临界风速的求解一般会过高地估计了桥梁的抗风能力,是偏于不安全的[4]。而采用仅考虑结构几何非线性分析方法计算出的先稳风速也会偏高,只有全面考虑结构几何非线性与静风荷载非线性的分析方法,才能比较真实地反映桥梁结构失稳的全过程。因此,有必要对大跨径桥梁的非线性静风稳定性的分析方法进行全面的研究。
本文首先回顾和比较了目前几种主要的静风稳定性分析方法,针对这几种方法的不足,提出了一种新的求解大跨径桥梁静风稳定性的方法--增量与内外两重迭代法,最后,通过一座实桥算例分析对这些方法进行了比较分析,得出了一些结论。
二、现有静风稳定性分析方法的回顾与比较
1.静风稳定性分析方法的回顾
早期的静风稳定性分析方法主要是线性方法,该方法根据结构失稳方式不同又可分为侧倾失稳和扭转发散两种[5]。下面以单跨悬索桥为例分别给出这两种失稳模态的计算公式。
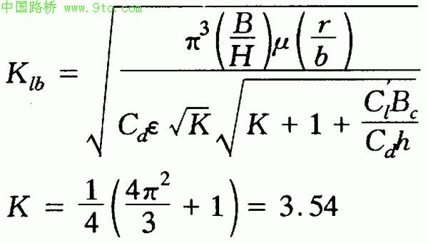
(1)侧倾失稳临界风速计算
Vlb=KlbftB( 1)
式中
其中,Cd为加劲梁阻力系数;Cl为加劲梁升力系数的斜率;ε为扭弯频率比;Bc为主缆间距;h为加劲梁梁高。
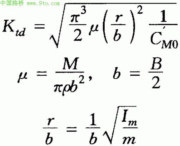
(2)扭转发散临界风速计算
vtd=KtdftB
式中
其中, m为单位桥长质量(kg/m);此为单位桥长质量惯矩 (kg·平方米/m); CMO为在攻角α=0度时升力矩系数CM的斜率,由风洞试验测得;ft一般取一阶对称扭转频率(Hz)。
由于以上两种公式均未考虑结构非线性和静风荷载非线性因素的影响,因此计算出的静风临界风速一般会明显偏高,对结构而言是偏于不安全的。
文献[ 6」提出一种用于分析大跨径悬索桥静风稳定性的实用方法--三角级数法,该方法综合考虑了结构几何非线性和静风荷载升力和升力矩共同作用的非线性影响。该方法是由计算某一风速下结构的静风响应和结构临界风速的计算两部分组成。其中在计算结构静风响应时,将升力和升力矩曲线按分段直线拟会,将升力、升力矩、竖向位移和结构扭转角用一组三角级数表示,并分别代入到悬索桥竖向和扭转平衡微分方程,联立确定各级数项的待定系数,由于方程是非线性的,所以此项计算必须通过迭代方法完成。计算扭转发散临界风速时,在初始攻角下,先假定一初始风速V0。,再通过静风响应计算得到一组相应的主缆索力和扭转角,以此为新的初态增加一级风速重新计算,当前后两次所计算的扭转角的相对误差超出允许值时,认为结构出现扭转发散,此时计算出的风速即为临界风速。
文献[4]采用增量法和迭代法相结合的方法进行大跨径桥梁第二类静风稳定性有限元分析。其中增量法分为内增量和外增量两种,所谓内增量,就是采用增量法进行结构几何非线性的求解,外增量就是不断施加风速。而迭代法则是进行某一风速下结构平衡状态的求解。该方法虽然能较好地跟踪结构失稳的全过程,但是由于它采用增量法进行结构几何非线性的计算,因此会出现计算误差累计的问题。
2.静风稳定性分析方法的比较
以上分别介绍了三种不同的大跨径桥梁静风稳定性分析方法,为了更好地认识和了解它们,本文对其作了比较分析,如表1所示。
三、对静风稳定性分析方法的改进
针对上述几种静风稳定性分析方法的不足,本文在综合考虑静风荷载与结构非线性影响的基础上,采用增量与内外两重选代相结合的方法,实现了对大跨径桥梁静风稳定性的精确求解。
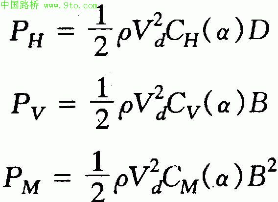
作用在主梁单位长度的静风荷载可分解为横向风荷载PH、竖向风荷载PV和扭转力矩M,具体表达式如下:
式中,CH(a),CV(a),CM(a)分别表示在有效攻角下主梁沿结构坐标轴各方向的阻力、升力、升力短系数;所谓有效攻角,是指静风初始攻角与静风作用引起的主梁扭转角之和。
按照杆系结构空间稳定理论,问题可归结为求解如下形式的非线性方程:
式中,Ke和Kg分别为结构的线弹性和几何刚度矩阵;α为有效攻角。PH,PV,PM分别为体铀下的风阻力、升力和升力矩;f为函数因子;上标G和W分别代表重力和风力。
从(4)式可知,不仅结构的刚度是结构变形的函数,而且右端项所表示的静风荷载也是结构变形的函数,为了求解该非线性方程,就必须采用迭代法。而为了跟踪结构变形的全过程,又必须采用增量法。为此,本文提出了采用增量与内外两重选代相结合的方法。增量法将风速按一定比例增加。而其中的内层选代主要是进行结构的非线性计算,而外层选代则是为了寻找结构的某一风速下的平衡位置。该方法的具体实施步骤如下:
(l)假定一初始风速V0;
(2)计算在该风速下结构所受的静风荷载;
(3)采用 Newton- Rapson法求解(4)式,得到结构位移U;
(4)从结构位移U中提取单元扭转角(为左右两节点扭转位移之和的平均值),重新计算结构的静风荷载;
(5)检查三分力系数的欧几里得范数是否小于允许值;
(6)如果小于允许值,则按预定步长增加风速,重复步骤(2)~(5);否则,重复步骤(3)~(5);
(7)如果在某一级风速下,出现选代不收敛,则恢复到上一级风速状态,缩短步长,重新计算,直至相邻两次风速之差小于预定值为止。
四、算例分析与比较
分别采用上述几种不同的方法对虎门大桥进行了静风稳定性分析。分析中采用的的结构几何和材料参数、各攻角下的静力三分力系数均取自同济大学土木工程防灾国家重点实验室--风洞实验室的资料和试验报告[7]。计算出的临界风速列于表
2。图 2为采用不同方法计算出的结构主梁跨中断面横向位移随风速的变化(因侧倾失稳和扭转发散两种方法无法跟踪结构失稳的全过程,故未列出)。为了更好地说明本文所提的增量一内外两重迭的代法的稳定性,分三种不同的初始风速加载方式考察了结构静风响应,其中方式一为风速从40m/s开始,每次增加
10m/s,直至110m/s;方式二为风速从70m/s开始,每次增加20m/s,直至 110m/s;方式三为一次性加至110m/s,计算结果如表3所示。
五、结论
通过对表1中所列的几种主要大跨径桥梁静风稳定性分析方法的回顾与比较,可以得出以下三点结论:
(1)采用线性方法来计算大跨径桥梁的静风稳定性,一般会过高地估计结构的抗静风能力,偏于不安全,这与它们未考虑结构几何非线性和静风荷载非线性有关。而采用三角级数法、增量迭代法和本文提出的改进方法--增量一两重选代法,均能比较真实地反映结构的实际抗静风能力。
(2)线性方法是通过预先假定结构的失稳模式来求解结构静风失稳风速,这将导致其无法跟踪结构失稳的全过程,而其余三种方法则不同,它们均是通过风速的逐级加载来获得结构静风;临界风速,因此,它们完全能跟踪结构失稳的全过程。
(3)增量迭代法是采用增量法进行结构几何非线性的求解,因此,势必会造成计算误差的积累,此外,如果要获得结构的静风临界风速,将只能进行风速的逐级加载,这势必又会造成计算速度慢的缺点。而本文提出的改进法--增量一两重迭代法无须进行风速的逐级加载就能获得结构静风临界风速,且有比较高的精度,这一点在算例中得到了充分的验证。
参考文献
[ l]V.Boonyapinyo,H.Yamada,T.Miyata,Wind-induced nonlinearl
lateral-torsional buckling of cable-stayed bridges,
Jouynal of Structural Engineering,ASCE,120(2);486-506,1994
[2]项海帆,林志兴.桥梁抗风设计规范》的研究课题.结构工程师(增刊),1998
[3]Nagai,M.,Xie X.,and etc, static and dynamic instablility
analysis of 1400-Meter long-span cable- stayed bridges,IABSE"Long-Span
and High-rise Structures",1998
[4]《公路桥梁抗风设计指南)编写组.公路桥梁抗风设计指南.北京:人民交通出版社,1996
[5]程进,肖汝诚,项海帆.大跨径悬索桥静风扭转发散的级数解法.同济大学学报,1992(2):127-130



