【摘要】通过对钢管混凝土复合截面的弹模取值探讨及应力计算的简化假定,推导出实用应力计算公式。
关键词 钢管混凝土复合截面 应力计算
一、钢管混凝土复合材料特性
钢管混凝土复合材料与普通的SRC材料不同,普通钢筋混凝土的共同作用主要是依靠握裹力来实现的,而钢管混凝土除了握裹力外还存在着钢管对管内混凝土强有力的约束,正是这种三维的约束使得管内混凝土的受力性能大幅度改善。
钢管混凝土的工作原理是这样的:在钢管混凝土受力较小时,混凝土处于弹性状态,泊桑比为0.15左右,钢管和混凝土之间的泊桑比差别较大,主要依靠握裹力来实现共同工作。当混凝土应力σ>Ra/2时,混凝土处于弹塑性状态,混凝土的横向变形系数将显著增大,直至与钢材泊桑比接近,此时,钢管对其横向约束作用明显加强,使之强度得到提高。这就是所谓的套箍作用。
由于钢管及其内部混凝土的相互作用,当复合截面受力时,就会产生三向应力,即纵向。环向和径向应力。下面,我们来对钢管混凝土复合截面的各项应力计算进行推导。
二、钢管混凝土复合戳面应力计算
1.基本假定及计算思路
钢管混凝土复合截面的应力基本假定:
(1)复合截面中相同位置的各施工阶段应力可以线性叠加。
(2)钢材和混凝土在施工过程中的弹性模量保持不变。
(3)应力计算中不计入对截面应力贡献微小的剪力影响。
施工中,应力计算的主要思路是这样的:结构部件的应力按照施工程序逐步叠加,上期施工的结构部分承受下期施加的施工荷载和恒载引起的应力;单元截面各组分之间进行内力分配,首先,钢管及其内部混凝土作为一个整体与外包混凝土进行分配,然后,再在钢管和管内混凝土之间进行分配。钢管、管内混凝土补包混凝土三者之间的内力分配原则是:
①相同的EA承担相同的轮力;②相同的EI承担相同的弯矩。
根据上述思路,空钢管骨架承受自重产生的应力(假定为σ1),压注管内混凝土阶段钢管应力则是管内混凝土恒重及施工荷载产生的钢管应力(假定为Δσ1)与σ1之和(假定为σ2);在下一阶段的施工中,钢管的应力则为下一阶段慎重及施工荷载产生的钢管应力(假定为Δσ2)与σ2之和,即
式中, n(n>l)为施工阶段号,σn为第n阶段截面组分的总应力,Δσn-1为第n阶段荷载产生的截面组分应力增量,k的取值为计算应力的截面组分的起始受力阶段,若k>1,则上式中σ1=0(如外包混凝土应力计算公式中σ1=0)。
2.钢管混凝土复合截面应力计算公式推导
分别表示管内混凝土的纵向、径向、环向应力。
分别表示钢管的纵向、径向、环向应力。
设钢管混凝土截面受轴力N,弯矩M和剪力Q作用,忽略剪力对钢管混凝土应力影响,钢管、省内混凝土分担的内力分别为Ng,Mg,Nh,Mh,则
由Ng十Nh=N,Mg十Mh=M
得
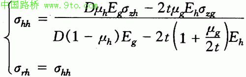
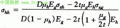
设P为单位长度钢管上的径向应力(见图1),则
σrh=σhh=P
由
得 T=P·D/2
则
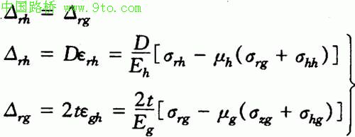
由变形协调知混凝土变形Dεrh与钢管变形2tεrg相等,即
得
其中,Eg为管内混凝土弹性模量,Er为钢管弹性模量,μh和μg分别是管内混凝土及钢管的泊桑比。
设钢管混凝土的弹模、面积、惯短分别为Egh,Agh,Igh,外包混凝土的弹横、面积、惯矩分别为Ec,Ac,Ic,其中,惯矩由相应组分对截面形心取矩而得。Nc,Mc是外包混凝土承担的轴力和弯矩,Ngh,Mgh则是钢管混凝土承担的轴力和弯矩。则
1.外包混凝土的纵向应力
其中,Yc是复合截面形心位置。
2.钢管及管内混凝土各向应力
设钢管分担的轴力、弯矩占钢管混凝土分配到的总内力的百分比为Kng,Kmg,管内混凝土分担的轴力、弯矩占钢管混凝土分配到的总内力的百分比为Knh,Kmh。则
(l)钢管纵向应力
其中,-D/2-t≤Y≤D/2十t为所求点的位置,Ycgh为钢管混凝土形心位置(即钢管轴心)。
(2)管内混凝土纵向应力
其中,-D/2≤Y≤D/2,Ycgh同上。
(3)管内混凝土环向、径向应力
式中,σzh及σzg为式(3)和式(4)中Y=0时的值。
(4)钢管环向、径向应力
三、钢管混凝土弹性模合联值探讨
以上公式是把钢管及管内混凝土作为一个整体进行公式推导的,全过程钢管混凝土仅采用一个弹模值Egh,我们暂且称之为单弹模法,根据水利电力部《规范》,我们可采用另外一种办法来进行内力分配,这种方法就是钢管混凝土作为一个整体采用两种不同弹模,由Egh1Agh=EgAg+EhAh求得Egh1,由Egh2Igh=EgIg+EhIh求得Egh2,然后,在内力分配公式中的相应位置用Egh1或Egh2来代替Egh,与外包混凝土进行内力分配,我们把它称为双弹模法(这种方法的运算结果与单弹模法相比,钢管及管内混凝土应力偏大,外包混凝土应力偏小,但差别不是十分显著)。此外,根据钢管及混凝土变形协调,我们还可以把钢管换算成混凝土,求出钢管处混凝土应力,钢管应力即为该处混凝土应力乘以系数民纸,我们把它称为变形协调法(此法在某钢管混凝土劲性骨架肋拱桥的理论应力计算中的应用,效果并不理想),这种方法不考虑钢管及混凝土问的相互约束作用,计算结果误差大。在实际工程的理论应力计算中,我们尝试了采用三种方法进行计算,并与实测值比较,结果表明,单弹模法效果最好。其取值方法如下:
其中, ρ=10Xt/d,t为钢管壁厚,d为钢管外径,ρ取值 0.04~ 0.12,低于0.04按0.04计,高于0.12按0.12计。
四、结论
(1)通过对钢管混凝土弹模取值的各种方法的比较,并结合实际工程应用,可以看出单弹模法是简单且实用的一种方法。
(2)通过对钢管混凝土复合截面的应力公式推导,得出钢管混凝土各项计算应力的实用公式,并在实际工程中应用,效果良好。
参考文献
[1]邵容光.结构设计原理.北京:人民交通出版社, 1995



