【摘要】本文介绍了钢管混凝土劲性骨架拱桥的施工监控理论和方法,对主要设计参数进行参数识别及敏感度分析,对实测值和理论值进行比较,通过误差分析提供的信息,对结构进行控制,成桥线性符合设计要求。达到控制目的。
【关键词】钢管混凝土劲性骨架
拱桥 施工监控
一、施工监控的意义
对于大跨径钢管混凝土劲性骨架拱桥来说,施工监控绝不是一件可有可免的事情,它直接关系到施工的质量和施工的成败,还与经济效益紧密相关。劲性骨架在施工过程中要经历悬臂——铰接——固接的体系转换过程,形成高次超静定体系。在有外包混凝土的钢管混凝土劲性骨架拱桥中,拱箱混凝土浇注使得主拱单元的单元数量、截面特性、截面材料成分都在不断的变化,应力和挠度也处于大幅位变化中,再加上施工荷载、几何非线性、材料非线性、环境温度、环境湿度、日照时间等的影响,任一因素都可能使得拱桥的施工朝着偏离预定目标的方向发展,而可能处于高应力水平的局部杆件又会危及结构的安全。因此,在施工现场建立一个预测-施工-观测-识别-反馈-调整的反复循环过程就显得格外重要。
钢管混凝土劲性骨架拱桥施工步骤多,主拱截面变化大,结构受力复杂。因此,为保证施工过程中主拱结构的截面应力分布、烧度变化都处于安全合理的范围内,特别是确保桥梁建成后主拱结构的线形与内力(应力)符合设计要求,必须对主拱结构进行预测、模拟、监测、跟踪分析和控制,以确保桥梁的施工安全、顺利、快捷、优质地完成。
二、控制技术、理论及控制计算
1.控制技术
(1)外力平衡法
顾名思义,外力平衡法是对需要调整的结构施加外力,凭借外力的作用来改变结构行为的方法。它主要包括锚索加载法、水箱加载法和斜拉扣控法。
a.锚索加载法
锚索加载法是利用钢索把加载点和地锚相连,中间设置拉力紧固器,按计算加载量加载的方法。这种利用地锚加载的办法优缺点并存,优点是加载量控制方便,缺点是仅适用于旱地和干涸的河床。在后来修建丹东河口桥时,这种方法得到改进,把由拉力紧固器提供外力改进为以悬挂重物实现预加载,这种改进使得锚索加载法不再受地形限制。
b.水箱加载法
水箱加载法是在浇注拱箱混凝土时,在拱肋顶部布置水箱,随着混凝土浇注的推进,根据拱箱特征,变形观测值,结合应力(应变)监测情况,通过对水箱加水加载和排水卸载实现对拱轴线竖向变形的控制和应力的调整。宜宾南门金沙江大桥施工中就运用了这种控制方法。该桥在应用水箱加卸载的控制过程中运用优化控制分析原理控制应力和变形,其控制方程为:
应力控制方程σx(p1,p2,...,pn)≤1.25[σ]
变形控制方程Δx(p1,p2,...,pn)≤1.25[Δ]
其中,σx,Δx表示优化选择的目标函数,p1,p2,...,pn则表示水箱的作用位置和水箱荷载的大小。只要求出符合控制方程的集中力p1,p2,...,pn的数值,就可根据pi(l≤i≤n)的大小施加水箱荷载,进行调整。此法加载、卸载都十分方便,操作可靠,不失为一种可行的控制方法。
c.斜拉扣挂法
斜拉扣控法在国外较早用于大跨径钢筋混凝土拱桥的无支架施工,修建广西邕宁邕江大桥时,首次成功运用斜拉扣控法作为拱桥主拱应力和变形的调整方法。其思路是借助钢骨架阶段吊装的扣索来调整混凝土浇注阶段内力。通过对扣索的张放,给拱肋施加一定量的拉力,以减少各浇注阶段混凝土产生的弯矩,从而达到减小应力、控制变形的目的。
此法与前面提到的两种外力平衡法反其道而行之,锚索加载法和水箱加载法都是通过外力,给主拱施加方向向下的荷载,斜拉扣控法则通过扣索给主拱施加方向为斜上的荷载。
(2)无外力控制法
无外力控制法也叫多点均衡浇注法,即混凝土的浇注分多工作面进行,它是我国传统的双曲拱桥拱板混凝土的浇注方法。在大跨径劲性骨架拱桥中,万县长江大桥首次采用这种方法。这种方法是采用横向分环纵向分段的方法来浇注主拱因外包混凝土,在主拱拱箱混凝土,尤其是底板混凝土的浇注过程中,多工作面作业,使劲性骨架受力相对均匀,从而使劲性骨架应力分配均匀,变形和顺。
(3)联合法
作者认为,外力平衡法中的描索加载法和水箱加载法都可以与斜拉扣挂控法联合使用,为方便起见,我们暂且把它称为外力混合法,具体作法是从拱脚到L/4采用斜拉扣控法,L/4到拱顶采用锚索加载法或水箱加载法,这样,无论是扣索、锚索的拉力还是水箱的重量都可以大幅减小,使得拱圈的应力和变形更易控制。
此外,多点均衡浇注法也可与斜拉扣控法联合使用,我们把它称为联合法,这种方法可以在靠近拱脚段的拱肋上适当位置选取扣点,用钢缆作为扣索,通过塔架固定在地锚上,这样做的好处是可以使拱脚段的混凝土一次浇注量大为增加,同时又可以减轻拱脚的负担,远离拱脚段仍采用多点均衡浇注法。这种方法尤适用于大跨径劲性骨架混凝土拱桥,它可充分利用线索吊装施工的塔架。
2.控制理论分析
目前,国内外提出的控制理论主要有:最小二乘法最优控制法、卡尔曼滤波随机最优终点控制方法、灰色理论、模糊理论等。其中以最小二乘法及卡尔曼滤波法显成熟,应用最广。钢管混凝土劲性骨架拱桥采用了最小二乘法进行参数识别。
3.控制计算
(1)控制计算模型
以某大跨径钢管混凝土劲性骨架拱桥为例,其控制计算模型可分为两种,一种是平面计算模型,另一种是空间计算模型。平面计算模型是把结构简化为平面结构,根据设计定义的节段,把各钢桥架节段离散为梁单元,后期施工的混凝土部分则拟合到梁单元中,根据施工进程改变拱脚约束条件及单元材料特性和截面特性。空间控制计算模型则是把钢桥架各杆件作为梁单元,混凝土作为板单元处理,通过译码、粘结形成板梁组合单元。这样处理,钢梁单元的刚度不变,板单元的刚度则随着本单元混凝土的浇注量变化而变化,这种计算模式下梁单元与板单元的变形是协调的。各模型如图1、图2所示。

(2)控制计算
一般来说,施工监控都不可能在一次理论分析计算后便能得到满意的结果,通常采用的办法是把正装计算法和倒拆计算法结合使用,经过多次循环送代,使理论分析的结果逐步逼近结构的实际状态。其方法描述如下;
a.根据设计的初始状态,用正装计算法求出各施工阶段的内力和位移,得出第一次成桥状态,一般都与设计不相符。
b.由(a)所得成桥状态,进行倒装分析,以位移反推求得结构的最初状态,由此得到第一次虚拟的理想状态。
c.由(b)所得初状态按施工顺序进行正装计算,求出新的成桥状态。
此时的成桥状态与设计的成桥状态一般都部吻合,因此,必须把新的成桥状态作为虚拟的设计成桥状态,进行步骤(2)和步骤(3)的操作,直至最终得出的成桥状态与实际的设计成桥状态一致。此时的初始状态即为理想的初始状态,中间各阶段状态则为中间目标。
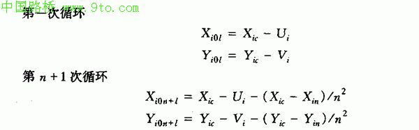
循环迭代中,初始状态的坐标的确定;

(3)误差分析
尽管在施工监控中千方百计排除各种确定和不确定因素的干扰,实测值与理论值之间还是不可避免地存在一定的偏差,有时甚至相差甚远。误差分析就是通过对应力或位移偏差分析、结构参数敏感度分析、结构参数识别,找出产生偏差的原因,确定设计参数的真实值,以保证后阶段的理论分析的可靠性,并对偏差进行适当的修正。
三、施工监测
劲性骨架拱桥施工监测的主要内容为:温度监测,应力监测,位移(挠度、轴线)监测等。
(l)对各主拱肋拱脚进行变位监测,以确定拱座基础是否有位移。
(2)对各主拱肋各控制截面(L/8,L/4,L/2)及劲性骨架接头进行线形和位移监测,以便掌握拱肋的真实位移情况。
(3)对主拱肋拱脚,L/8,L/4,3L/8、拱顶截面的钢管(筋)及混凝土的应力进行监测。
(4)对主拱肋钢管、管内混凝土、拱箱混凝土进行温度监测,以获得与线形及位移相对应的大气温度,以及主拱肋箱体温度,为控制的理论分析提供可靠的温度值。
四、控制实施及结果
控制的实施通常是根据实测控制变量的值与理论分析的各施工阶段中间理想目标值的差异,采用一定的方式对结构进行调整。与梁桥的施工监控相比,劲性骨架拱桥施工监控中的预报次要得多,因为它不存在控制立模标高的问题,所起作用主要是校核实测值与预测值的吻合程度。通过对造成实测值与中间理想目标值的差异的原因分析,采用合理的调整方案,使最终目标得以实现。
在特大跨劲性骨架拱桥施工中,劲性骨架阶段的调整通常凭借外力来完成(如通过缆风或扣索施加荷载等);而在主拱圈施工阶段则常采用混凝土不完全对称浇注来实现的,只有在偏差很大时才实用外力进行调整;拱上建筑加载阶段通常也是通过调整预制或现浇的构件来达到目的的。某钢管混凝土动性骨架拱桥的控制结果如表1、表2所示。


五、结语
通过对劲性骨架拱桥施工监控的理论分析和实测比较,我们可以得出结论:
(1)施工控制所采用的计算模型、监测方法和控制方法是可行的。为同类型桥梁的施工监控提供了有益的资料,值得推广。
(2)施工过程中,结构行为一般都偏离中间理想目标,采用结构自身恒载调整时,不应急于求成,而应多次、小幅进行。
参考文献
[1]陈哲.现代控制理论基础.北京:冶金工业出版社,1987
[2]于长官.现代控制理论.哈尔滨:哈尔滨工业大学出版社,1996
[3]韩曾晋.现代使制理论和应用.北京;北京出版社,1987



