直流牵引网最大压降的分析与计算
北京市城建设计研究总院 于松伟
牵引网最大压降,是地铁和轻轨供电计算中的一个重要参数,它对于牵引变电所位置的合理分布有着重要的作用。
目前的供电计算基本是在没有列车运行图的情况下进行的。即一般使用“平均运转量法”,该法本身是一个“平均值”的概念,对于计算牵引网最大压降这一瞬态值难免不准确,为使计算结果更加接近于瞬态值,即更加接近于实际值,本文在传统的算法基础上,又做了一些探讨,试图更加完善计算的物理意义,提高计算的准确度。
同时,本文认为:改善牵引网最大压降的传统措施——上、下行接触网并联法,有其一定局限性:只有在一定条件下,此措施才有效,即能够较明显地减小牵引网最大压降。
一、牵引网最大压降及其形成的条件
牵引网最大压降有两层含义:其一,指一个区间的牵引网最大压降。其二,指整条线路的牵引网最大压降。区间牵引网最大压降的最大者即是线路牵引网最大压降,本文将其简称为牵引网最大压降。
牵引网最大压降的形成条件如下:
1.两相邻牵引变电所间距较大,距内有中间车站。
2.两相邻牵引变电所,其中一列,区间由另一个实行单边供电。
3.远瑞(供电臂末端)车站及次远端车站分别有上、下行列车同时起动,区间里还有列车取流运行。
二、日本算法
日本有关资料介绍了牵引网最大匝降的一种计算方法。

该式的物理意义:A、B区间牵引网的最大压降由两部分组成,其一是一列车在远端起动时引起的压降;其二是该区间内除一列车在远端起动外,其它列车都集中在区间中部取流Imax/2运行引起的压降。
从(2—2)式的物理意义可以看出:该算法只考虑了一个方向(暂弥上行)的列车在牵引网上引起的压降,而没有考虑另一方向(暂称下行)列车在回流网上引起的压降△U下行。这部分压降的计算法参见本文的第四部分。
以上海地铁“人民广场站--上海火车站”区间为冽,参见图3,将有关参数


三 传统方法
在以往的计算中,一般采用下列公式进行牵引网最大压降的计算:
△U=LRImax+(L-l)RIg (3-1)
式(3-1)的物理意义:牵引网最大压降由两部分组成,其一是一列车在远端起动引起的压降;其二是一列车在距变电所(L—l)公里处取流Ig运行而引起的压降。
该算法存在以下两点问题:
1.如果供电区间(变电所间距)较大,即L>2l时,在距牵引变电所(L—2l)公里处可能还有一列车在取流运行,它同样也将在牵引网上引起压降,这部分压降为:
△U2=(L-2l)RIg (3-2)
2.由式(3—1)可知,该法同日本算法一样,也没有计入另一方向 (暂称下行)列车在回流网上引起的压降△U下行。
以上海地铁“人民广场站一上海火车站站”区间为P,1,参见图3,将有关参数代入式(3—1)的:
△U=LRImax+(L-l)RIg=2.694*0.03*4601+(2.496-1.16)*0.03*2151=470(V)
注 1、本例中虽然在眶牵引变电所
(L—2l)处有一列车在运行,但由图日可知该列车已处于惰行状态,故△U2=0
注 2、△U下行的计算参见第四部分
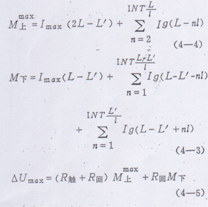
四、改进算法
从前面分析得知:牵引网最大压降包括接触网压降和回流网压降,它既可以按列车行驶方向分为上行列车在牵引网上引起的压降,和下列列车在牵引网上引起的压降;又可按列车运行的状态分为启动列车引起的压降,和取流运行列车引起的压.
为便于分析说明,引进“电流矩”这个概念:列车电流与列车至牵引变电所眶离的乘积称为“电流矩以字母M表示,单位为安培公里, “电流矩”与力学中的力矩相似。另外,如图假定由远端车站驶向运行的牵引变电所的方向为上行列车,反之为下行列车。
根据牵引网最大压降的形成条件,列车的分布情况应为:上行方向,一列车在远端车站起动,其前方列车在区间以l为间隔运行;下行方向,一列车在次远端车站起动,其前后两侧列车以l为间隔运行。如图2所示。
假定一牵引变电所解列后,上、下行接触网是电气分离的,而上、下行回流网是并联在一起的,那么牵引网最大压降可由下式来表示:



有一种特殊情况,需做进一步说明。
当远端车站和次远端车站的间距L',列车在该区间内的技术速度V'及列车发车
远端车站将同时有上行列车起动,此时,牵引网最大压降将达到极限。这时有:

五、上、下行接触网并联对牵引网最大压降的影响
在以前的供电设计计算中,如果牵引网最大压降不能满足设计要求,一般采取上、下行接触网并联的措施,来减小接触网阻抗,以减小牵引网最大压降。但上、下行接触网并联的同时,由于下行列车取流的影响,流过接触网的电流也增大了,这势必又导致牵引网最大压降的增大。那么上、下行接触网并联后,牵引网最大压降究竟有何变化呢?

由此可见,接触网并联后,能否有效地减小牵引网景大压降,主要取决于上、下行电流矩的差值。如果M上、M下相差不大, 则δ值将较小。
以上海地铁“人民广场站--上海火车站站”区间为例:
并联前,牵引网最大压降:△U=558V对于1500V的牵引系统不满足设计要求!
并联前后,牵引网最大压降的差值:
δ=70V
并联后,牵引网最大压降:△U'=488V对于1500V的牵引系统满足设计要求!
综上所述,当牵引网最大压降不能满足设计要求时,是否采取上、下行接触网并联措施,要根据具体情况计算而定。若该措施有效则采取,反之,则不采取。因为上、下行接触网的并联,会使接触网故障率增加,故障危害面扩大。

