南京地铁元中区间隧道降水设计与施工

提 要:本文针对南京地铁元中区间隧道基坑所处场地的水文地质条件,进行了相应的基坑稳定性检算,提出了该基坑合理的降水方案和施工方法,达到了良好的降水效果,确保了工程的顺利进行。
关键词:降水设计 潜水承压水 降水效果
1 前言
对地铁区间隧道进行明挖法施工时,要求基坑保持干燥状态,以便于施工,同时保证基坑的稳定性。若地层中有水头较高的承压含水层,在开挖过程中如不采取一定措施,可能会产生突涌,导致基坑失稳破坏。为确保施工安全,有必要对基坑开挖采取降排水措施。
2 工程概况
南京地铁南北线一期工程西延线元通站~中胜站区间隧道,起止里程为XK2+325.100~XK3+477.100,线路长度为1 152.0m。区间结构采用矩形钢筋混凝土双孔隧道,区间隧道采用明挖法施工,以钻孔灌注桩加搅拌桩作为围护结构,基坑开挖深度11m左右。
3 场地水文地质条件
场地内主要为耕地、空地及道路,无重要建(构)筑物。场地地貌属长江漫滩,地势较为平坦,所处地层以I类为主,覆盖层厚度较大,主要为漫滩冲积成因的饱和软弱粘土及饱和砂性土,自上而下所穿越的地层为:①1人工填土,厚度0.3~4.5m左右;②1b2-3粉质粘土局部分布,层厚0.8~1.7m;②2b4淤泥质粉质粘土,局部夹薄层粉土、粉砂,层厚13.5~17.0m;②3c3粉土,层厚0.7~6.5m;②4d3-4中砂,层厚1.5~7.2m;②5d2-3粉砂,层厚1.5~8.5m;②6d1-2粉细砂,层厚20m左右。区间结构主体位于②2b4淤泥质粉质粘土层。
场地地下水分为潜水及承压水。潜水层为人工填土层及全新世漫滩相软弱粘土层构成的孔隙含水层组,其透水性、含水性各不相同,主体为全新世沉积软弱性土(包括②1b2-3粉质粘土、②2b4淤泥质粉质粘土),饱含地下水,但透水性弱,潜水水位受季节性控制,雨季为地面以下0.6~1.5m;承压水为埋深15.9m以下的砂层构成的孔隙含水层,透水性好,该砂层厚度大,含水量丰富,为场地主要含水层,承压水水头为地面以下5m。
4 开挖面及坑底稳定检算
结构稳定和坑底稳定是深基坑工程的关键。由于本工程的水文地质条件较为复杂,因此基底的稳定是本工程施工中应考虑的主要因数。
4.1 抗基底隆起的稳定检算
采用考虑c,φ的抗隆起法和计及墙体极限弯矩的抗隆起稳定性检算法分别进行检算。
4.1.1 考虑c,φ的抗隆起法
根据南京地区近年来基坑的工程实践经验,以及南京市地基基础设计规范建议,基坑抗基底隆起的稳定检算可采用考虑c,φ的抗隆起法,计算示意图如图1所示,抗隆起稳定性的公式为

式中 Ks——安全系数;
D——墙体入土深度,取8m;
H——开挖深度,取11m;
γ——整个墙高范围内的土层加权平均容重,取17.6kN/m3;
γ1——基底下面土层容重,取17.7kN/m3;
φ1——基底下面土层内摩擦角,取16.8°;
c1——基底下面土层的粘聚力,取35.6kPa;
q——地面均布超载,取30kPa。
由上得Ks=1.93

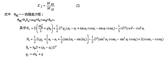
4.1.2 计及墙体极限弯矩的抗隆起检算法
假定滑动面通过墙底,并以最下道支撑作为转动中心,按公式(2)检算基坑底部土体的抗隆起稳定性,计算示意图如图2所示。

式中r——围护墙底以上地基土各土层天然重度的加权平均值,取17.68kN/m3;
D——墙体插入深度,取7m;
Ka——主动土压力系数;
c,φ——滑裂面上土得粘聚力和内摩擦角的加权平均值,分别为28.9kPa与10.6°;
h0——基坑开挖深度,取11m;
h0′——最下一道支撑距地面的深度,取9m;
a1——最下一道支撑面与基坑开挖面间的水平夹角,取12.8°(0.22rad);
a2——以最下一道支撑点为圆心的滑裂面圆心角154.4°(2.69rad);
q——坑外地面超载,取30kPa;
MSL——隆起力矩, 。
由上得KL=1.75满足要求。
以上两种检算的抗隆起安全系数分别为1.93和1.75。本基坑属于三级基坑,按规范[1]抗隆起安全值应大于1.5,从上面的检算来看,坑底抗隆起满足要求。为了便于施工,按设计要求只须将开挖范围内的潜水疏干即可,即在开挖前30d将潜水降至坑底以下3m。
4.2 开挖面抗承压水的稳定检算

式中 γω——水容重;
h1─—水头高,取10.9m;
γ——开挖面至承压水层顶板土体的加权平均容重,取17.6kN/m3;
Δh1——承压水层顶板至坑底的土层厚,取4.9m。
从上面的分析可见,对上部承压水层,在开挖至坑底之前需采取降水措施。
开挖至坑底后所能承受水头高度:h≥Δh1γ/γωKs=8.0m(取Ks=1.1);
开挖至坑底之前须降低水头值:10.9-8.0=2.9m。
从前面分析可以得出在基坑开挖过程中为了防止坑底失稳,必须提前对承压水层采取降水措施,最终将水头降至地面以下8.9m深处。
5 区间隧道基坑降水设计
根据前面的分析,需将潜水降至坑底以下3m,将承压水降至地面以下8.9m。因承压水层埋藏较浅,如对潜水和承压水分别采取措施,在施工潜水井的时候势必将承压水层打穿。故可采用越流井(即将两含水层连通)深井点降水,将水位降至坑底以下3m。为了降低对周边环境的影响,将降水井布置在坑内。因含水层厚度较大,管井滤管无需插入含水层底板,只需插入一定深度,就能满足降水设计要求。区间段基坑形状为狭长条形,按狭长条形非完整潜水井降水公式进行计算[2]。
5.1 管井群出水量计算

5.4 管井纵向间距确定
纵向间距
5.5 群井布置
管井布置在离基坑壁2.5m处,纵向间距为16.2m,两边各布置72个,井深17.5m。管井布置平面图见图3,管井构造图见图4。

6 施工方法
6.1 降水井施工工艺流程
降水井施工工艺流程如图5所示。

图5 降水井施工工艺流程图
6.2 降水井施工步骤
6.2.1 测量定位
根据设计坐标,进行精确测量,每个孔位测定后,作好标记,作好保护。
6.2.2 成孔
管井成孔采用钻孔法,孔径为500mm,泥浆护壁。在钻孔过程中控制好孔的垂直度和钻孔深度。
6.2.3 严格按设计要求进行钢筋笼制作和滤网绑扎
钢筋笼采用整体吊装入孔,为了吊装时有足够的刚度,要求主筋与加强箍筋必须全部焊接。下放钢筋笼时不能转动或上下串动,防止滤网破损,导致泥沙涌入水井。钢筋笼在下放过程中要注意保证其垂直度。
6.2.4 回填滤料
钢筋笼下放到位后,井点管四周及时用粗沙回填灌实,距地面1.5m深度内用粘土回填密实,以防止漏气。
6.2.5 洗井
在回填粗沙后立即进行洗井,清除停留在孔内和透水层中的泥浆与孔壁的泥浆,采用泥浆泵冲清与小空压机相结合的办法洗井,洗井前后两次抽水涌水量相差应小于15%,且洗井后井内沉渣不上升或基本不上升。
6.2.6 安装潜水泵及试抽
在安装水泵前量测井深和井底沉淀物厚度,以及洗井等符合要求后用缆绳将潜水泵吊入井管预定深度。潜水电机电缆接头确保可靠绝缘,并配置保护开关控制。安装完毕后进行单机抽水试验,以确定单井出水量和降深,并检查降水设备是否正常,满足要求后转入正常施工。
7 降水监测及处理措施
本区间隧道基坑分5个开挖段,在每个开挖段的基坑中央设置2~3个水位观测孔,对水位进行监测。在井点施工期间,对已形成井点的水位,每天观测1~2次;降水前期对水位、流量及含沙量每天观测1~2次;降水中期每天观测1次;降水后期每7~10d观测1次,雨天加测水位。将每天观测的水位及流量结果进行整理,绘制Q-t和s-t关系曲线,分析水位下降的趋势及流量变化,预测地下水位降低到设计深度的时间和确定抽水泵的安装与数量调整。同时对周边建筑物进行沉降观测,一旦发现问题,可采用回灌方法,提高建筑物附近的地下水位,减少建筑物的沉降量。
8 降水效果
该区间于2003年2月中旬开始抽水,开始抽水时,水量较大,水位下降很快,之后水位降落逐渐缓慢,3d后,水位保持稳定。从水位观测数据来看,降低后的水位满足设计要求。元中区间基坑于3月中旬开始开挖,从前期开挖段来看,基坑内部干燥,基坑围护结构及坑底保持稳定,无不良事故发生,元中区间的降水设计及降水施工方法是成功的。
参考文献
[1] 江苏省地方标准《南京地区地基基础设计规范》.85页.DB32/112-99.1999
[2] 基坑工程手册(第二版). 北京:中国建筑工业出版社,1997
文章出处:《城市交通隧道工程最新技术》

