上海地铁10号盾构监控技术
【提 要】:本文根据系统设备配置实况提出盾构监控系统结构和硬件配置,通过系统的性能、特点和控制等方面的剖析,论述盾构监控技术。
【关键词】:地铁盾构监控技术
Abstract: This paper based on actual system installation arrangement, proposes shield monitoring system set up and its hardware configuration, and discusses shield monitoring technique by way of break?down analyses in terms of system performances and features, as well as its controll.
Keywords: metro shield, monitoring technique.
1 概述
在地铁2号线一期工程静安寺至江苏路的区间隧道工程中采用了一台直径为6340 mm的土压平衡式盾构进行施工,这台盾构是由隧道公司设计并制造的国产化设备,也是迄今为止在上海地铁区间隧道中施工的第一台国产盾构。
在该盾构控制方式中,采用了先进的由可编程序控制器(PLC)和计算机组成的监控系统取代了传统的继电器控制技术,大大提高了控制的准确性,灵活性和可靠性,从而提高盾构的整体性能。
2 地铁10号盾构简介
2.1 系统简介
地铁10号盾构电气系统由冷却、刀盘、螺旋机、螺旋机闸门、皮带机、推进、拼装、集中润滑, 盾尾油脂、加泥和同步注浆等分系统组成(表1)。
系统主要配置有20多台电机、70多个电磁阀和20多套传感器等设备。
2.2 动力设备配置情况见表1
表1 动力设备配置表

3 监控系统结构方案
3.1 监控系统结构
地铁10 号盾构监控系统由PLC控制系统和计算机数据采集系统(包括地面和地下)组成,具体结构如下图1所示。

3.2 监控系统配置
3.2.1 计算机数据采集系统配置
(1) 地下系统
地下计算机采用CONTEC公司的IPC-PT/M500S工控机:
· 主频133 MHz
· 硬盘810 M,内存16 M
· 内置33.6kMODEM
· 触摸屏功能
· 监控软件 FADOCTOR
(2) 地面系统
地面系统由汇泰兼容计算机和打印机(EPSON LQ-1600K)组成:
· 主频166 MHz
· 硬盘2.1 G,内存16 M
· 内置33.6kMODEM
· 监控软件 FADOCTOR
3.2.2 PLC控制系统配置
PLC控制系统采用日本三菱公司的MELSEC AnS系列可编程序控制器,该系统由一个主站和两个从站组成,具体配置见表3。
4 系统监控技术
4.1 PLC控制系统
4.1.1系统性能
本PLC控制系统由三部分组成,它们是:主站,设置在盾构操作室内;1号从站,设置在2号台车的配电柜内;2号从站,设置在盾构拼装操作箱内。
主站和从站之间使用双绞屏蔽电缆进行连接,从而构成一个MELSECNET/B总线型通信网络。该网络采用半双工串行方式进行通信,通信速率高达1.25 Mbps,通信接口规约为RS485,最大通信距离为1200m。
另外,该网络中的任何一个站可利用通信继电器(B)和通信寄存器(W)对ON/OFF状态或数据进行监控和修改,这为逻辑控制软件的编制带来了极大的方便。
4.1.2 系统容量
本系统所采用的A2ASCPU的容量为512点(I/O),故系统最大可使用I/O容量为1536点,具体分配情况见表4。
表4 PLC控制系统容量具体分配表

4.1.3 系统特点
本盾构PLC控制系统在隧道施工特定的工况条件下和传统的继电器控制系统相比具有以下特点:
· PLC模块的工作温度范围为0~55℃,环境相对湿度范围为35%~95%(无凝露), 抗震性能好,更能适应隧道恶劣施工环境;
· PLC模块采用微电子技术,大量的开关动作由无触点的半导体集成电路来完成,并采用屏蔽,滤波及隔离等抗干扰处理措施,可靠性更高;
· PLC系统采用积木式硬件结构和专用软件编程方法,能灵活应用于复杂程度及功能不同的控制要求。一旦盾构施工完毕,只要适当重组硬件并修改软件,就能方便地应用于其他类型的盾构控制,设备重复利用率较高;
·PLC控制逻辑采用软件形式,这为调试、控制要求更改和故障诊断带来了极大的方便;
· 由于采用了通信网络结构,因此从控制室至盾构本体的所有电气信号仅用一根双绞屏蔽通信电缆就可完成传递,这节省了大量的电缆,提高信号传输质量,减小了设备故障发生的概率,同时又可缩短约20%的台车转换工期;
· 采用PLC控制系统,可节省中间继电器箱柜的使用数量和控制箱柜内的有效空间,这为设备的合理布置提供了方便。
4.1.4 系统控制
地铁10号盾构的PLC系统控制程序由隧道公司自行开发,现以同步注浆和拼装回转限位的控制为例来介绍设计思想。
(1) 同步注浆系统的控制
同步注浆系统是盾构中的一个重要环节,其控制结果将直接影响地面的沉降。 由于注浆量过大会引起地面隆起,而注浆量过小会引起地面下陷,因此控制关键在于注浆量和盾构推进速度的同步性。
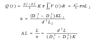
假设在一环中,总注浆量为Q(t),盾壳外径为D1,管片外径为D2,管片长度为L1,注浆泵活塞外径为d,注浆泵活塞长度为L2,推进速度为V(t),推进时间为t,注浆次数为n,注浆量比例设定参数为K,注浆一次的行程为<L,则有:

由于上述公式中的D1,D2,d,L2和K都是已知量,故<L也是个常数。这样在编制程序时,只要计算出当前的行程差值(L1即能达到同步控制要求。
· 如果 <L1><L,则在注浆次数寄存器(D)内自动加1;
· 如果 <L1><L,则在注浆次数寄存器(D)不动作。
如果D中的数据不为零,则进行注浆操作,同时每次注浆后根据注浆脉冲反馈信号将D中的数据减1。这样反复循环,直到D为零时停止注浆
(2) 拼装回转限位的控制
本次盾构拼装机上设置了正反转220°两只限位开关(即拼装机左限和拼装机右限),如果用传统继电器控制方法的话很难保证可靠性。在编制PLC控制程序时,关键在于如何判断拼装机在回转时所处的位置,具体控制思想以拼装机正转限位控制为例叙述如下:
· 如果拼装机从初始状态开始正转的话,那么它第一次碰到的限位将是拼装机左限,此时应将这个信号储存至断电保持型的PLC内部继电器中;
·当拼装机继续转动时有以下两种可能发生的情况。
(1) 如果拼装机继续正转的话,则在它碰到拼装机右限时将停止转动。
(2) 如果拼装机开始反转的话,则在它再次碰到拼装机左限时将PLC内部继电器中的左限记忆清零。
· 出现上述第一种情况时,拼装机正转被禁止,此时它只能反转;出现上述第二种情况时,拼装机处于自由转动状态;
· 使用断电保持型内部继电器可以在盾构突发停电故障时保证控制的可靠性 。
(2) 计算机数据采集系统
计算机数据采集系统主要用于施工信息的管理, 其主要功能如下:
· 显示并保存施工数据;
· 设备工作状态的模拟显示;
· 对保存的历史数据进行统计、运算和处理;
· 故障报警查询;
· 施工环报表的打印(仅限于地面计算机系统)。
5 结语
地铁10号盾构是隧道公司最新研制开发的隧道施工设备,和地铁一号线施工时引进的法国盾构相比具有很大的先进性。但和世界盾构先进控制技术相比还存在一定的差距。我们希望能以此作为一个新的起点,不断探索新技术,并逐步来完善我们的盾构控制技术。
文章出处:《城市交通隧道工程最新技术》

