基于模糊综合评判法的地铁车站施工风险评估摘 要:针对地铁车站工程施工影响因素的随机性和模糊性特点,作者提出了风险评估的模糊综合评判法,其中采用了层次分析法确定影响因素的权重。文中通过算例来验证所提方法的实用性,分析结果基本反映了实际情况。关键词:地铁车站;施工;风险分析;失效模式;模糊综合评判法1引 言 随着我国城市化进程的不断加快,城市面临的首要问题便是人口膨胀,交通拥挤等。很多大中型城市人均道路面积日渐减少[1],如上海人均面积已降至仅2.2m2,而要增加地面道路面积是非常困难的。依据国内外经验,建设地铁是一种比较好的解决途径。在地铁建设的过程中,地铁车站施工是一个重要的环节。地铁车站一般设置在客流量大的地点,如商业中心、文化娱乐中心及地面交通枢纽等地方,以便最大限度地吸引客流和方便乘客。因此,其施工条件相对复杂、困难,而且对地面环境及周围建筑物容易产生较大的影响。 在城市中心地区地铁车站施工的过程中,为避免大量拆迁,减少对周围环境的粉尘污染和噪声影响,在对工程地质、水文地质等方面评估的基础上,一般采用浅埋暗挖法施工[2]。由于浅埋暗挖法施工在地下内部进行,相对于地面施工来说主要有以下几个特性:隐蔽性大,作业的循环性强,作业空间有限,作业的综合性高,施工过程中周围土体的物理力学状态是变化的,作业环境恶劣且危险性大。因此,对地铁车站工程施工过程中可能出现的风险进行评估是很有必要的。2 地铁车站施工失效模式及其评估方法选择2.1施工中失效模式的分析 在用浅埋暗挖法对地铁车站施工过程中,可能会出现一些危险的影响因素。工程技术与管理人员应该对这些影响因素产生的失效模式进行分析,确定其相对重要度,然后合理地分配资源对其进行不同程度的监控和防范。 依据已有工程经验和类似工程历史记录,在地铁车站施工过程中可能会出现的危险部位如下:在修两边跨时可能会出现拱顶开裂,这主要是由于两边跨成拱后,开挖中跨临时支护失效,两边跨挤向中跨,引起边跨拱顶开裂;在修中跨时,可能出现中跨中柱基础下沉,这主要是由于仰拱未及时修筑,中柱基础承载力不足,继而导致拱部衬砌开裂;在对拱部施工时,可能出现拱圈防水层质量失效,主要原因是铺设拱部防水层工艺失当,接缝不良,从而引起拱部漏水;对立柱施工时,可能出现仰拱开裂,主要是由于仰拱施工未清底及混凝土质量不佳,这也会引起底部翻浆冒泥;另外,在整个施工过程中可能会出现地表地层下沉,主要是由于施工工序展开过长,地层未作预加固而导致的后果是直接危及地下管线。可见,影响地铁车站施工安全的因素很多,不仅取决于地层内部地质条件,还取决于外部环境因素的影响。2.2 风险研究方法的选取 地铁车站工程处于地层之中,而地层的复杂性使得在地下施工过程中出现的一些风险难以用非常准确的、量化的数据加以表达。显然,施工过程的风险是不确定性的,不仅具有随机性,还具有模糊性。目前已有的工程风险评估方法如风险乘数法[3]、故障树法[4]等难以对此予以准确地表达。此外,风险乘数法没有考虑失效指标之间的相互关系,而故障树的建立是一个相当复杂的过程,对其进行定量分析也比较困难。 对于具有不确定性和模糊性事件,其分析可以采用模糊数学的方法。模糊综合评判法就是从多目标决策中划分出来的一种新的数学方法,当影响事物因素较多又有很强的不确定性和模糊性时,采用此方法进行量化分析具有明显的优越性[5,6,7]。3建立模糊综合评判法模型 模糊综合评判法用于评估工程的风险性时,一般包括如下四项工作[8,9]。3.1建立综合评价集合 设着眼因素集为U={u1 u2 … um},抉择评语集为V={v1 v2 … vn},它们均为有限集。 在地铁车站工程施工过程中,本文暂只考虑3种失效指标因素:u1为各因素失效发生的频率,u2为各因素失效后果的严重程度,u3为各因素失效原因被检测出的程度(简称检测度)。考虑的抉择评语集合即为本文前面失效模式分析中提到的5种失效因素:拱顶开裂,中柱沉降,防水层漏水,仰拱开裂以及地层下沉等。3.2确定被评价事物相关各因素的隶属度 隶属函数是模糊综合评判方法的关键之一,它是一种对不能精确定量表述的事物现象、规律及进程的模糊陈述的表达式,由此确定的隶属度是对模糊概念贴近程度的度量。因此,隶属函数确定得是否符合实际情况,会直接影响到分析结果的正确性。目前,确定隶属函数的方法通常用模糊统计方法或者是凭实际经验,而本文后续算例将针对地铁车站施工过程中所考虑的几个影响因素,依据隶属函数构造方法及原则[10],取定本文所需要的隶属函数。 为对着眼因素集U中的ui(i=1,2,…,m)作单因素评判,从因素ui着眼确定该事物对抉择等级vj(j=1,2,…,n)的隶属度rij,并由此得出ui的单因素评判集ri={ri1 ri2 … rin},它是抉择评语集合V上的模糊子集。由m个着眼因素的评价集可构造出模糊关系矩阵R:

它反映了集合U与V之间存在的相关关系,其中rij表示因素ui对抉择等级vj的隶属程度。3.3 确定各评价因素对评价对象的权重 对于被评判的事物,由于从不同的着眼因素可能会得出绝然不同的结论,而且在诸多着眼因素ui中,对总评价的影响程度不一,存在着模糊择优因素。因此,评价的着眼点可看成着眼因素集U上的一个模糊子集A。在模型中,A称为输入模糊向量,记成A={a1 a2 … am}。式中ai(0≤ai≤ 1)为ui对A的隶属度且规定

它是单因素ui在总评价中影响程度的一种度量。A中的分向量称为因素ui的重要程度系数,或称权重。 目前有多种方法用于确定权重值。为获得合理的结果,本文后续算例将先模拟专家打分,然后采用求层次分析法(AHP)中正互反矩阵特征向量的方法来确定权值。3.4综合评价 在确定了模糊矩阵R和模糊向量A后,可作如下模糊变换来进行综合评判:B=AR={b1 b2 … bn} (2) 式中B称为输出模糊向量,bj= ∑akrkj,j=1,2,…,n。由此得到评价集V的模糊子集,即输出模糊向量B,其分向量的数值大小将相对地反映了在地下工程施工中有关因素的风险程度。4工程应用算例 某暗挖地铁车站[3]是双层三跨二柱连拱结构(如图1)。施工方法采用先修两边跨,后修中跨的方案,施工中在拱部、立柱、地基等处。在施工中,有可能出现开裂,下沉、防水层失效等风险。对该地铁车站施工中的潜在风险,文献[3]已按风险乘数法做过分析,本文在此拟采用其基本资料按上述模糊综合评判法进行评估和比较。

4.1选定失效分析指标 在施工风险分析时,要考虑工程系统中存在哪些隐患,并确定其失效模式,进行失效机理分析。为此,本文设定三个指标加以表征,即失效发生频率的程度(O)、失效后果的严重程度(S)、失效原因被检查出的程度(D)。根据以往经验与所考察对象相似的系统失效记录[3],用1到10数字来标识失效评判指标(表1),该工程失效模式、机理和后果以及量化指标打分结果等见表2。

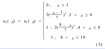
4.2 选定各失效分析指标的隶属函数4.2.1 失效发生频率程度的隶属函数 根据表1,当失效发生频率程度不大于1时,可以看成失效可能性等级很小;当失效发生频率程度大于8时,可以看成失效可能性等级达到最高。由此特点,本文将其隶属函数uO(χ)取为:

4.2.2 失效后果严重程度的隶属函数 由表1可知,失效后果严重程度和失效发生频率程度的评判标度的变化规律类似,故其隶属函数uS(χ)取成与uO(χ)相同。

4.2.3失效原因被检查出程度的隶属函数 由表1可知,失效原因检测度越高,其失效可能性等级越低。依据这种规律,该隶属函数是检测度的一个减函数。本文假定,当失效原因检测度大于8时uD(χ)=0,当失效原因检测度不大于2时uD(χ)=1,中间区域采用Γ形分布函数来分析其研究对象的变化。因此,失效原因检测度的隶属函数uD(x)可表达为:

4.3确定各因素权重 为确定三个指标因素的权重,先模拟打分并按层次分析法建立反映它们之间相对重要性的正互反矩阵Q如下:

容易求得矩阵Q的最大特征值为λmax=3.0735。根据层次分析理论,与Q矩阵阶数m=3对应的随机一致性指标RI=0.58,而一致性指标CI=(λmax-m)/(m-1),于是有CR=CI/RI=0.06<0.1。可见,Q矩阵通过了一致性检验而可以被后续的分析采用。 正互反矩阵Q与λmax对应的特征向量α={0.2762 0.6323 0.7238}。对它进行归一化并用于确定各评价因素的权重,即取输入模糊向量矩阵A={0.1692 0.3874 0.4413}。4.4计算各失效模式的隶属度 将表2中的O、S和D数值代入隶属函数式(3)或式(4),所得隶属度列入表3。这样失效模式的模糊关系矩阵为:

4.5求输出模糊向量并评估施工风险 在具体确定了矩阵R和A后,利用式(2)可以求出输出模糊向量: B=A·R={b1 b2 … bn}={0.5464 0.3294 0.3337 0.36460.6763}。 由B元素的相对大小排列原则可知:对本算例工程,其首要风险是因施工工序展开过长、地层未预加固,造成地表地层下沉;其次是在中柱柱顶开挖中跨时,两边跨挤向中跨,引起边跨拱顶开裂;然后是仰拱施工未清底及混凝土质量不佳,造成仰拱开裂引起的风险;接下来是铺设拱部防水层工艺失当,接缝不良,造成拱部漏水引起的风险;最后是仰拱未及时修筑,中柱基础承载力不足,造成拱部衬砌开裂引起的风险。可见,本文方法的风险评估结果与文献[3]是有差异的。4.6 讨论 本文失效因素风险的相对程度是层次分析和模糊综合评判法相结合而推断出的结果,其中不但考虑了5种失效部位在三个评判指标下对地铁车站工程施工风险的影响,而且也综合考虑了这三种评判指标之间的相对关系,与文献[3]相比显得更为合理。一方面,文献[3]仅仅只是考虑5种失效模式在失效发生频率的程度、失效后果严重程度、失效原因被检测出的程度三个评判指标下发生的结果,而对于这三者本身之间的相互关系并没有考虑(即对三者给予了同等的权重)。另一方面,对于所考虑的评判指标“失效原因被检测出的程度”,应该理解是:失效原因被检测出的程度越高,对工程而言,风险是越小的;反之,风险是越大。但对文献[3]来说,OSD之积越大,对应的影响因素就越危险,风险就越大。显然,文献[3]用OSD之积作为决策的评判标准是值得商榷的。具体来说,对5种失效部位,按文献[3]的方法,“两边跨拱顶开裂”和“地表地层下沉”的OS积值均为42,但对评判指标“失效原因被检测出的程度”,“两边跨拱顶开裂”和“地表地层下沉”对应的D分别是4和3,相对来说应该是“地表地层下沉”风险大,而文献[3]按OSD之积大小却判定是“两边跨拱顶开裂”的风险更大,这显然不合理。

5结束语 本文初步研究表明,模糊综合评判法可用于地铁车站工程施工中的风险分析。对地下工程施工这一本身带有不确定性的复杂系统,这种分析可以在一定程度上加深对可能失效事件的认识,并通过采取合理的措施而尽可能地将风险或失效降低到最小的程度。本文研究的算例只是抽取影响地铁车站施工过程中可能出现的5种失效模式和三个主要的量化评估指标进行了模糊综合分析。事实上,地铁车站施工过程的风险会来源于方方面面,还可能有影响风险的一些偶然因素未被考虑进去。因此,在实际应用中,应针对具体工程情况适当地选取因素集和权重,同时参加基本失效因素评价的人员最好是该行业具有实际工程经验的专家,评价人数不能太少且应具有代表性。参考文献:[1] 陶龙光,巴肇伦.城市地下工程[M].北京:科学出版社,2002[2] 张庆贺,朱合华,庄荣等.地铁与轻轨[M].北京:人民交通出版社,2002[3] 张国亮,张振刚.地下工程施工中的风险分析[J]. 西部探矿工程,2005,(3):214-216[4] 张树义,白继承.铁路隧道施工人员伤亡事故树分析[J].世界隧道,2000,(3):57-61[5] 冯保成.模糊数学实用集粹[M].北京:中国建筑工业出版社,1991[6] 许传文,任青文.地下工程围岩稳定性的模糊综合评价[J].岩石力学与工程学报,2004,23(11):1852-1855[7] KandelA,ByattWJ.Fuzzyprocesses[J].FuzzySetsandSystems,1980,4(2):117-152[8] ShaoRQ.Amulti-levelfuzzysyntheticevaluationonin vestmentprogramsinshipping[J].TransportationEngineer ing,2004,144(93):497-502[9] 狄建华.模糊数学理论在建筑安全综合评价中的应用[J].华南理工大学学报(自然科学版),2002,33(7):87-91[10] 余琼芳,陈迎松.模糊数学中隶属函数的构造策略[J].漯河职业技术学院学报,2003,2(1):12-15